М
Молодежь
К
Компьютеры-и-электроника
Д
Дом-и-сад
С
Стиль-и-уход-за-собой
П
Праздники-и-традиции
Т
Транспорт
П
Путешествия
С
Семейная-жизнь
Ф
Философия-и-религия
Б
Без категории
М
Мир-работы
Х
Хобби-и-рукоделие
И
Искусство-и-развлечения
В
Взаимоотношения
З
Здоровье
К
Кулинария-и-гостеприимство
Ф
Финансы-и-бизнес
П
Питомцы-и-животные
О
Образование
О
Образование-и-коммуникации
moiytrewq20005
moiytrewq20005
03.07.2020 21:27 •  Математика

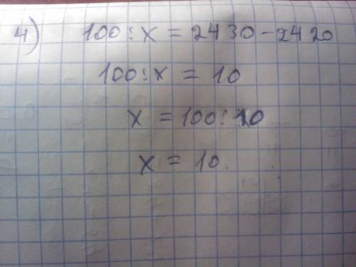
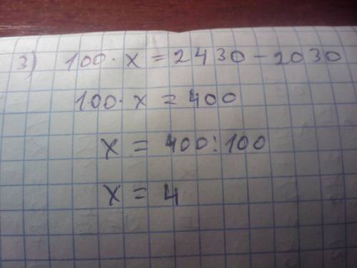
Решите уровнения х: 9=100-910 х*9=1000-910 100*х=2430-2030 100: х=2430-2420 надо не только ответ но и решение.

👇
Ответ:
Праемпт
Праемпт
03.07.2020
Правильный ответ в фото.
Решите уровнения х: 9=100-910 х*9=1000-910 100*х=2430-2030 100: х=2430-2420 надо не только ответ но
Решите уровнения х: 9=100-910 х*9=1000-910 100*х=2430-2030 100: х=2430-2420 надо не только ответ но
Решите уровнения х: 9=100-910 х*9=1000-910 100*х=2430-2030 100: х=2430-2420 надо не только ответ но
Решите уровнения х: 9=100-910 х*9=1000-910 100*х=2430-2030 100: х=2430-2420 надо не только ответ но
4,7(38 оценок)
Открыть все ответы
Ответ:
poliaaaaaa
poliaaaaaa
03.07.2020
А)1)Находим производную функции f(x): f'(x)=3x^2-6x;
 2)Приравниваем производную к нулю: 3х^2-6x=0 и определяем стационарные точки:
3x(x-2)=0  x1=0  x2=2 
3) Определяем на числовой прямой знаки, от минус бесконечности до 0 знак +(числаа подставляем не в уравнение, а в производную), от 0 до 2 знак -, от 2 до плюс бесконечности знак +. Значит функция убывает на тех промежутках, где знак минус, а возрастает,где знак плюс.
 б) Определяем наибольшее и наименьшее значение функции. находим значение функции при x=-2 и x=1 и в стационарных точках, т.е 0 и 2
при х=0, у=1, при х=2 у=-3, при х=-2 у=-19, при х=1 у=-1
Значит у наибольшее 1, у наименьшее -19. 
4,7(70 оценок)
Ответ:
dima3693
dima3693
03.07.2020
Сначала на другой берег переплывет 1 рыцарь со своим оруженосцем;
оруженосец остается один, а рыцарь уплывает снова на левый берег.
Затем в лодку садятся 2 оруженосца, а трое рыцарей остаются, обратно возвращается один оруженосец, который остается на берегу со своим рыцарем, а два рыцаря плывут к своим оруженосцам, на правый.
Оруженосец со своим рыцарем переплывает снова на левый берег, теперь с левого берега на правый плывут два рыцаря, а 2 оруженосца остаются. Оставшийся на правом берегу единственный оруженосец плывет на левый берег к остальным оруженосцам, и увозит с собой одного оруженосца, значит на левом берегу остается 1 оруженосец. С правого берега уплывает рыцарь к своему оруженосцу на левый берег и забирает его на правый. Все рыцари и оруженосцы переправлены в соответствии с условиями задачи.
4,7(2 оценок)
Это интересно:
Новые ответы от MOGZ: Математика
logo
Вход Регистрация
Что ты хочешь узнать?
Спроси Mozg
Открыть лучший ответ