М
Молодежь
К
Компьютеры-и-электроника
Д
Дом-и-сад
С
Стиль-и-уход-за-собой
П
Праздники-и-традиции
Т
Транспорт
П
Путешествия
С
Семейная-жизнь
Ф
Философия-и-религия
Б
Без категории
М
Мир-работы
Х
Хобби-и-рукоделие
И
Искусство-и-развлечения
В
Взаимоотношения
З
Здоровье
К
Кулинария-и-гостеприимство
Ф
Финансы-и-бизнес
П
Питомцы-и-животные
О
Образование
О
Образование-и-коммуникации
xdxdxdxdxdxdx
xdxdxdxdxdxdx
10.10.2020 14:19 •  Математика

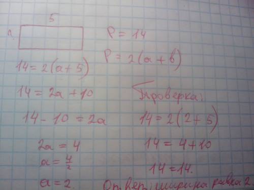
Периметр прямоугольника 14 см, длина этого прямоугольника 5 см. найди ширину.

👇
Ответ:
coco171
coco171
10.10.2020
Правильный ответ в фото.
Периметр прямоугольника 14 см, длина этого прямоугольника 5 см. найди ширину.
4,5(40 оценок)
Открыть все ответы
Ответ:

Изучая математику,мы проходим отношения чисел и величин.Одно число может быть меньше или больше другого,но для сравнения  этого бывает недостаточно.Для решения  практических задач нам необходимо знать,во сколько раз или на сколько одно число больше или меньше другого.

На сколько единиц одно число больше или меньше другого -это разностное сравнение.Для разносного сравнения необходимо  из большего числа вычесть меньшее.

Во сколько раз одно число больше или меньше другого -это кратное сравнение.Для кратного сравнения необходимо большее число разделить на меньшее.

Пример:

На сколько 6-ть больше 3-х?Вычисляем: 6-3=3 ,получается 6-ть больше 3-х на 3 единицы.Это  разностное сравнение.

Во сколько раз 6-ть больше 3-х?Вычисляем: 6:3=2 ,получается 6-ть больше 3-х в два раза.Это кратное сравнение .

4,5(14 оценок)
Ответ:
andreymikilov
andreymikilov
10.10.2020
Семейство Aniliidae — Вальковатые змеи  Семейство Bolyeriidae — Болиериды  Семейство Tropidophiidae — Земляные удавы  Надсемейство Acrochordoidea  Семейство Acrochordidae — Бородавчатые змеи  Надсемейство Uropeltoidea  Семейство Anomochilidae  Семейство Cylindrophiidae — Цилиндрические змеи  Семейство Uropeltidae — Щитохвостые змеи  Надсемейство Pythonoidea  Семейство Loxocemidae — Мексиканские земляные питоны  Семейство Pythonidae  Семейство Xenopeltidae — Лучистые змеи  Надсемейство Booidea  Семейство Boidae — Ложноногие змеи  Надсемейство Colubroidea  Семейство Colubridae — Ужеобразные  Семейство Lamprophiidae  Семейство Elapidae — Аспидовые  Семейство Homalopsidae  Семейство Pareatidae  Семейство Viperidae — Гадюковые  Семейство Xenodermatidae  Надсемейство Typhlopoidea (Scolecophidia)  Семейство Anomalepididae — Американские червеобразные змеи  Семейство Gerrhopilidae  Семейство Typhlopidae — Слепозмейки  Семейство Leptotyphlopidae — Узкоротые змеи  Семейство Xenotyphlopidae
4,4(70 оценок)
Это интересно:
Новые ответы от MOGZ: Математика
logo
Вход Регистрация
Что ты хочешь узнать?
Спроси Mozg
Открыть лучший ответ