М
Молодежь
К
Компьютеры-и-электроника
Д
Дом-и-сад
С
Стиль-и-уход-за-собой
П
Праздники-и-традиции
Т
Транспорт
П
Путешествия
С
Семейная-жизнь
Ф
Философия-и-религия
Б
Без категории
М
Мир-работы
Х
Хобби-и-рукоделие
И
Искусство-и-развлечения
В
Взаимоотношения
З
Здоровье
К
Кулинария-и-гостеприимство
Ф
Финансы-и-бизнес
П
Питомцы-и-животные
О
Образование
О
Образование-и-коммуникации
Dzhyzefina
Dzhyzefina
20.07.2021 08:07 •  Математика

Расход топливо на 100 км 44,9 общий пробег машина проехала 320 км остаток в баке на выезда 221 л . вопрос сколько останется литров в баке

👇
Ответ:
reki45
reki45
20.07.2021
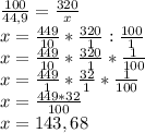
Решим пропорцией
\frac{100}{44,9}= \frac{320}{x} \\ x= \frac{449}{10}* \frac{320}{1}: \frac{100}{1} \\ x= \frac{449}{10}* \frac{320}{1}* \frac{1}{100} \\ x=\frac{449}{1}* \frac{32}{1}* \frac{1}{100} \\ x=\frac{449*32}{100} \\ x=143,68
x≈144
ответ: 72

Я знаю как решить, но не знаю как правильно обосновать. Так что вообще можно пойти более простым путем
221-(\frac{320}{100})*44.9
4,5(50 оценок)
Открыть все ответы
Ответ:
Marina56434655442
Marina56434655442
20.07.2021

не может.

Пошагово

Для ответа на вопрос задачи нам нужно вспомнить несколько определений:

1. Простым числом называется число, которое можно разделить без остатка только на единицу или на  само себя.

2. Натуральным числом называется число, полученное в результате естественного счета чего либо целого. То есть любое натуральное число будет целым по определению.

3. Объем прямоугольного параллелепипеда, а значит и его частного случая - куба, определяется как произведение длин всех трех измерений. Для куба он выражается как значение длины ребра в третьей степени.

Невозможно извлечь кубический корень из простого числа, чтобы в результате получить натуральное число.

4,4(66 оценок)
Ответ:
Neznаykа
Neznаykа
20.07.2021
ПРОМЕТЕЙ ("превидящий") в мифах выступает богоборцем и защитником людей:выкрал:выкрал на Олимпе огонь и отдал его людям, научил их искусству строительства,мореплаванью,медицины и письма.Прометей принёс людям огонь - но это не только свет и тепло домашнего очага,свет знания и огонь культуры.Прометей творец культурного человека.Именно благодаря Прометею человечество есть то,что есть - не просто одим из биологических видов,а разум подчинить себе мироздание.Прометей на века стал символом самопожертвования,примером борца за благо людей,за их право мыслить
4,4(32 оценок)
Это интересно:
Новые ответы от MOGZ: Математика
logo
Вход Регистрация
Что ты хочешь узнать?
Спроси Mozg
Открыть лучший ответ