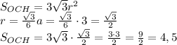
Дана правил. треугольная призма, длина стороны основания и высоты которой равны соответ. 2 см и 3(3 см. найдите площ . снов. площ. боковой и площ. полной поверх. призмы
Нужно найти производную данной функции и приравнять к нулю: 1 - x^2 = 0. Решением данного уравнения являются корни x = -1 и x = 1. Исследуем на возрастание, убывание исходную функцию: при x = - 2 производная принимает отрицательное значение, значит функция в промежутке до точки x = -1 убывает. при x = 0 производная принимает положительное значение, значит функция в промежутке от -1 до 1 возрастает. при x = 2 производная принимает отрицательное значение, значит функция в промежутке от 1 до бесконечности убывает. Следовательно точкой максимума является точка при x = 1. ответ - x=1
боковая поверхность - три прямоугольника 2 на 3 см. Sбок = 3*2*3 = 18 кв.см.
Полная - боковая плюс две площади основания. Площадь основания - площадь правильного тр-ка со стороной 3.
Тогда