М
Молодежь
К
Компьютеры-и-электроника
Д
Дом-и-сад
С
Стиль-и-уход-за-собой
П
Праздники-и-традиции
Т
Транспорт
П
Путешествия
С
Семейная-жизнь
Ф
Философия-и-религия
Б
Без категории
М
Мир-работы
Х
Хобби-и-рукоделие
И
Искусство-и-развлечения
В
Взаимоотношения
З
Здоровье
К
Кулинария-и-гостеприимство
Ф
Финансы-и-бизнес
П
Питомцы-и-животные
О
Образование
О
Образование-и-коммуникации

1) log64x+log8x=0.5 2) log81x+log9x+log3x=3.5 3) logax-loga^2x+loga^4x=0.75

👇
Ответ:
Anal0l
Anal0l
26.05.2022
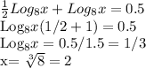
1)
Log_{64}x+Log_8x=0.5

Log_{8^2}x+Log_8x=0.5

\frac{1}{2}Log_8x+Log_8x=0.5

Log_8x(1/2+1)=0.5

Log_8x=0.5/ 1.5=1/3

x= \sqrt[3]{8}=2

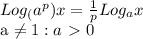
2)

Log_{81}x+Log_9x+Log_3x=3.5

Log_{3^4}x+Log_{3^2}x+Log_3x=3.5

Log_3x(1/4+1/2+1)=3.5

Log_3x=2

x=3^2=9

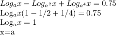
3)

Log_ax-Log_{a^2}x+Log_{a^4}x=0.75

Log_ax(1-1/2+1/4)=0.75

Log_ax=1

x=a

x\ \textgreater \ 0; x \neq 1

Примечание: мы воспользовались свойством логарифма

Log_({a^p})x= \frac{1}{p}Log_ax

a \neq 1: a\ \textgreater \ 0
4,5(68 оценок)
Открыть все ответы
Ответ:
nekitpundya2256
nekitpundya2256
26.05.2022
Вчера я пришел(а) со школы уставший(ая), но пересилив свою усталость я сел(а) делать домашнюю работу которую задали... Смотря в окно за которым падают белые хлопья, я и не заметила как сделала все уроки... Вот уже вечер и я пошла чистить зубы и ложиться спать. На следующий день была прекрасная погода и после школы я решила погулять. Уроки тянулись долго, но не смотря на это настроение было на высоте...
Прийдя со школы я быстренько оделась потеплее и вышла. Направилась в парк. На следующий день я спала до обеда так как был выходной. Договорившись с подругами мы пошли спокататься на горке. Так и мой день.
4,6(71 оценок)
Ответ:
Лиза13061
Лиза13061
26.05.2022
2,1 :а + 17 2/5• 0,8= 2,1 • 1/а+ 17 (2•2)/(5•2) • 0,8= 2,1• 1/а+ 17 4/10• 0,8= 2,1• 1/а+ 17,4• 0,8= 2,1• 1/а+ 13,92

При а=35.

2,1• 1/а+ 13,92= 21/10• 1/35+ 13,92= 3/10• 1/5+ 13,92= 0,3• (1•2)/(5•2)+ 13,92= 0,3• 2/10+ 13,92= 0,3• 0,2+ 13,92= 0,06+ 13,92= 13,98.

В дробях обычных

2,1 : а+ 17 2/5• 0,8= 21/10• 1/а+ (17•5+2)/5• 8/10= 21/10• 1/а+ 87/5• 4/5= 21/10• 1/а+ 348/25= 2 1/10• 1/а+ 13 23/25

При а= 35

2 1/10• 1/а+ 13 23/25= 21/10• 1/35+ 13 23/25= 3/10• 1/5+ 13 23/25= 3/50+ 13 23/25= 3/50+ 13 (23•2)/(25•2)= 3/50+ 13 46/50= 13 49/50= 13,98
4,7(41 оценок)
Это интересно:
Новые ответы от MOGZ: Математика
logo
Вход Регистрация
Что ты хочешь узнать?
Спроси Mozg
Открыть лучший ответ