М
Молодежь
К
Компьютеры-и-электроника
Д
Дом-и-сад
С
Стиль-и-уход-за-собой
П
Праздники-и-традиции
Т
Транспорт
П
Путешествия
С
Семейная-жизнь
Ф
Философия-и-религия
Б
Без категории
М
Мир-работы
Х
Хобби-и-рукоделие
И
Искусство-и-развлечения
В
Взаимоотношения
З
Здоровье
К
Кулинария-и-гостеприимство
Ф
Финансы-и-бизнес
П
Питомцы-и-животные
О
Образование
О
Образование-и-коммуникации
Дмыч
Дмыч
28.03.2021 11:55 •  Математика

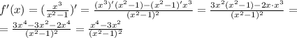
F(x)=x^3/(x^2-1) найти производную функции?

👇
Ответ:
f'(x)=(\frac{x^3}{x^2-1})'=\frac{(x^3)'(x^2-1)-(x^2-1)'x^3}{(x^2-1)^2}=\frac{3x^2(x^2-1)-2x\cdot x^3}{(x^2-1)^2}=\\=\frac{3x^4-3x^2-2x^4}{(x^2-1)^2}=\frac{x^4-3x^2}{(x^2-1)^2}
4,8(77 оценок)
Открыть все ответы
Ответ:
Nazar0905
Nazar0905
28.03.2021

В древности люди получают все от природы: продукты питания,материалы для строительства и изготовления одежды.Природа и в нынешнее время тесно связана с человечеством,но мы не предаем ей значения.Все люди должны получить знания о природе.Например: допустим ты потерялся в лесу, никого рядом нету и что ты будешь делать ?

Знания о природе тебе: узнать направление на север по природным признакам,по солнцу и звездам,какие ягоды и грибы ядовитые, а какие съедобные и  т.п.

Таким образом все люди должны изучить и живую и неживую природу, чтобы в случае какого-нибудь происшествия, суметь обезопасить себя и своих близких от опасности.

4,8(30 оценок)
Ответ:
lora1981
lora1981
28.03.2021

В древности люди получают все от природы: продукты питания,материалы для строительства и изготовления одежды.Природа и в нынешнее время тесно связана с человечеством,но мы не предаем ей значения.Все люди должны получить знания о природе.Например: допустим ты потерялся в лесу, никого рядом нету и что ты будешь делать ?

Знания о природе тебе: узнать направление на север по природным признакам,по солнцу и звездам,какие ягоды и грибы ядовитые, а какие съедобные и  т.п.

Таким образом все люди должны изучить и живую и неживую природу, чтобы в случае какого-нибудь происшествия, суметь обезопасить себя и своих близких от опасности.

4,4(67 оценок)
Это интересно:
Новые ответы от MOGZ: Математика
logo
Вход Регистрация
Что ты хочешь узнать?
Спроси Mozg
Открыть лучший ответ