М
Молодежь
К
Компьютеры-и-электроника
Д
Дом-и-сад
С
Стиль-и-уход-за-собой
П
Праздники-и-традиции
Т
Транспорт
П
Путешествия
С
Семейная-жизнь
Ф
Философия-и-религия
Б
Без категории
М
Мир-работы
Х
Хобби-и-рукоделие
И
Искусство-и-развлечения
В
Взаимоотношения
З
Здоровье
К
Кулинария-и-гостеприимство
Ф
Финансы-и-бизнес
П
Питомцы-и-животные
О
Образование
О
Образование-и-коммуникации
Горова2007
Горова2007
22.10.2022 14:08 •  Математика

Розв'яжить рівняння
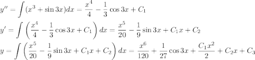
y'''=x^3+sin3x

👇
Ответ:
rom4il
rom4il
22.10.2022

Почленно проинтегрируем обе части уравнения

y''\displaystyle =\int (x^3+\sin 3x)dx=\dfrac{x^4}{4}-\dfrac{1}{3}\cos 3x+C_1\\ \\ y'=\int\left(\dfrac{x^4}{4}-\dfrac{1}{3}\cos 3x+C_1\right)dx=\dfrac{x^5}{20}-\dfrac{1}{9}\sin 3x+C_1x+C_2\\ \\ y=\int\left(\dfrac{x^5}{20}-\dfrac{1}{9}\sin 3x+C_1 x+C_2\right)dx=\dfrac{x^6}{120}+\dfrac{1}{27}\cos 3x+\dfrac{C_1x^2}{2}+C_2x+C_3

4,8(60 оценок)
Открыть все ответы
Ответ:
AveMartells
AveMartells
22.10.2022

если столовая работала по 5 дней в неделю обе недели

1) 70*5=350 л молока- расходовали за первую неделю

2) 80*5=400л молока расходовали за другую

3) 350+400=750 л молока расходовали всего

ответ: 750 л молока

 

если столовая работала по 6 дней в первую, по 5 дней в вторую неделю

1) 70*6=420 л молока- расходовали за первую неделю

2) 80*5=400л молока расходовали за другую

3) 420+400=820 л молока расходовали всего

ответ 820 л молока

 

если столовая работала по 6 дней в неделю обе недели

1) 70*6=420 л молока- расходовали за первую неделю

2) 80*6=480л молока расходовали за другую

3) 420+480=900 л молока расходовали всего

ответ: 900 л молока

 

если столовая работала по 5 дней в первую неделю, 6 дней во вторую  неделю

1) 70*5=350 л молока- расходовали за первую неделю

2) 80*6=480л молока расходовали за другую

3) 350+480=830 л молока расходовали всего

ответ: 830 л молока

4,5(85 оценок)
Ответ:
Попорпо
Попорпо
22.10.2022
1) -5,607+12,695 > -12,695+5,607; 
-5,607+12,695 = 7,695
-12,695+5,607 = -7,088
7.695 > -7.088

2) -5,607+(-12,695) < -12,695+5,507;
-5,607+(-12,695) = -18.302
-12,695+5,507 = -7.188
-18.302 < -7.188

3) +4(целые) 3/11+(-16(целых)5/22) <  16(целых) 5/22 + (-4(целые)3/11;
4(целые) 3/11+(-16(целых)5/22) = 47/11 - 357/22 = -11(целых) 21/22
6(целых) 5/22 + (-4(целые)3/11 = 137/22 - 47/11 = 1(целая) 21/22
-11(целых) 21/22   <  1(целая) 21/22

4) 4(целые)3/11+(-16(целых)5/22) > -16(целых) 5/22+(-4(целые)3/11
4(целые)3/11+(-16(целых)5/22) = 47/11 - 357/22 = -11(целых) 21/22
-16(целых) 5/22+(-4(целые)3/11 = -375/22 - 47/11 =-20(целых)1/2
-11(целых) 21/22    >  -20(целых)1/2
4,4(60 оценок)
Это интересно:
Новые ответы от MOGZ: Математика
logo
Вход Регистрация
Что ты хочешь узнать?
Спроси Mozg
Открыть лучший ответ