М
Молодежь
К
Компьютеры-и-электроника
Д
Дом-и-сад
С
Стиль-и-уход-за-собой
П
Праздники-и-традиции
Т
Транспорт
П
Путешествия
С
Семейная-жизнь
Ф
Философия-и-религия
Б
Без категории
М
Мир-работы
Х
Хобби-и-рукоделие
И
Искусство-и-развлечения
В
Взаимоотношения
З
Здоровье
К
Кулинария-и-гостеприимство
Ф
Финансы-и-бизнес
П
Питомцы-и-животные
О
Образование
О
Образование-и-коммуникации
Ly3577
Ly3577
21.04.2023 07:43 •  Математика

Дед старше отца на 32 года, отец старше сына тоже на 32 года. если 3 года назад их общий возраст был меньше 100 лет сколька им вместе?

👇
Ответ:
21.04.2023

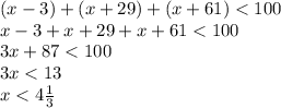
Сыну x лет, отцу (x+32) лет, деду (x+32+32)=(x+64).

Три года назад сыну было (x-3) лет, отцу (x+32-3) = (x+29) лет, деду (x+64-3) = (x+61) лет, что в сумме меньше 100, то есть

 (x-3) +(x+29) +(x+61) <100\\x-3+x+29+x+61<100\\3x+87<100\\3x<13\\x<4\frac13

Количество лет может быть только целым, поэтому сыну 4 года, отцу 4+32 = 36 лет, деду 4+64 = 68 лет. Вместе им 4+36+68 = 108 лет.

4,6(54 оценок)
Открыть все ответы
Ответ:
Nika0345
Nika0345
21.04.2023
Чтобы определить количество цифр в значение частного - достаточно просто поделить первую цифру делимого на делитель, т.е. 648 : 2  -  первая цифра делимого 6, делитель 2:   6 : 2 - делится, значит, старший разряд частного - разряд сотен ⇒ частное трёхзначное число.

844 : 4   -   первая цифра 8 : 4 - делится, значит, частное трёхзначное число.

936 : 3  -  9 : 3  -  делится ⇒  частное тоже трёхзначное число.

147 : 7   -  первая цифра делимого 1, при делении в столбик мы не делим 1 на 7, а занимаем разряд десятков (т.е. берём следующую цифру) :   14 : 7, значит, старший разряд частного будет разряд десятков ⇒  в ответе двузначное число.

155 : 5   -   делим тоже не 1 на 5, а 15 на 5  ⇒  в частном двузначное число.

246 : 6   -  24 : 6   ⇒   частное - двузначное число

328 : 8  -   частное двузначное число.

279 : 9  -  частное двузначное число.

См. в приложении.
-----------------------------
Найди значение частных, сделав запись уголком. определи сначало количество цифр в значении частного
4,6(49 оценок)
Ответ:
AlenSakenov
AlenSakenov
21.04.2023
2(х+15+х)=70                                                                                                    2(2х+15)=70                                                                                                      4х+30=70                                                                                                        4х=40                                                                                                                х=10 - ширина                                                                                                  10+25=35 - длина                                                                                              10*15=150
4,4(72 оценок)
Это интересно:
Новые ответы от MOGZ: Математика
logo
Вход Регистрация
Что ты хочешь узнать?
Спроси Mozg
Открыть лучший ответ