М
Молодежь
К
Компьютеры-и-электроника
Д
Дом-и-сад
С
Стиль-и-уход-за-собой
П
Праздники-и-традиции
Т
Транспорт
П
Путешествия
С
Семейная-жизнь
Ф
Философия-и-религия
Б
Без категории
М
Мир-работы
Х
Хобби-и-рукоделие
И
Искусство-и-развлечения
В
Взаимоотношения
З
Здоровье
К
Кулинария-и-гостеприимство
Ф
Финансы-и-бизнес
П
Питомцы-и-животные
О
Образование
О
Образование-и-коммуникации
fgoolis58
fgoolis58
14.07.2020 10:09 •  Математика

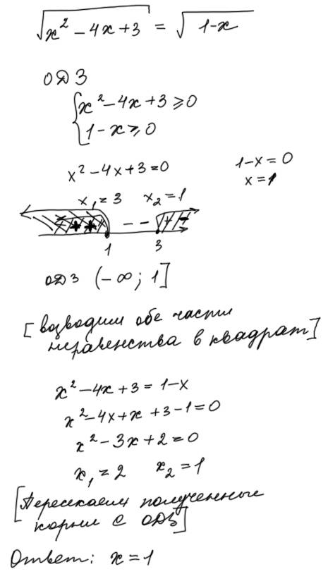
√х во второй степени минус 4х+3=√1-х

👇
Ответ:
gulmamedovaxayald
gulmamedovaxayald
14.07.2020
Решение в прикрепленном файле.
√х во второй степени минус 4х+3=√1-х
4,8(99 оценок)
Открыть все ответы
Ответ:
DetasGames
DetasGames
14.07.2020
Ограничение и компенсация и потребностей происходит в соответствии с законом, который формулируется следующим образом: «Компенсация ограниченных или потребностей другими возможна только при совпадении их качественных и расхождении количественных характеристик». Этот закон может быть представлен и в другом варианте: «ограничиваться и компенсироваться могут только те и потребности, качественные характеристики которых совпадают, а количественные – расходятся». Из данного закона проистекают четыре следствия: «Следствие 1. Избыточность по отношению друг к другу совпадающих по качеству или потребностей ограничивает возможность их актуализации. Следствие 2. Недостаточность по отношению друг к другу совпадающих по качеству или потребностей определяет возможность их частичной компенсации. Следствие 3. Избыточность и недостаточность совпадающих с ними по качеству потребностей компенсируется за счёт актуализации качественно иных потребностей. Следствие 4. Недостаточность и избыточность совпадающих с ними по качеству потребностей компенсируется за счёт актуализации качественно иных
4,6(80 оценок)
Ответ:
лерчик1253
лерчик1253
14.07.2020
А) (200 + 20 * а) : 6 = 60
(200 + 20 * а)  - делимое;  6 - делитель: 60 частное. Чтобы найти делимое, надо частное умножить на делитель:
200 + 20 * а = 60 * 6
200 - первое слагаемое; 20 * а - второе слагаемое;  360 - сумма. (60 * 6 = 360). Чтобы найти неизвестное слагаемое, надо из суммы вычесть известное слагаемое:
20 * а = 360 - 200
20 - первый множитель, а - второй множитель, 160 - произведение. (360 - 200 = 160). Чтобы найти неизвестный множитель, надо произведение разделить на известный множитель:
а = 160 : 20
а = 8
Проверка: (200 + 20 * 8) : 6 = 60
                  (200 + 160) : 6 = 60
                  360 : 6 = 60
                  60 = 60

б) 320 : (b * 8 - 40) = 10
320 - делимое; (b * 8 - 40) - делитель, 10 частное. Чтобы найти неизвестный делитель, надо делимое разделить на частное:
b * 8 - 40 = 320 : 10
b * 8 - уменьшаемое, 40 - вычитаемое, 32 - разность. (320 : 10 = 32). Чтобы найти уменьшаемое, надо к разности прибавить вычитаемое:
b * 8 = 32 + 40
b - первый множитель, 8 - второй множитель, 72 - произведение. (32 + 40 = 72). Чтобы найти неизвестный множитель, надо произведение разделить на известный множитель:
b = 72 : 8
b = 9
Проверка: 320 : (9 * 8 - 40) = 10
                  320 : (72 - 40) = 10
                  320 : 32 = 10
                  10 = 10 
4,8(10 оценок)
Это интересно:
Новые ответы от MOGZ: Математика
logo
Вход Регистрация
Что ты хочешь узнать?
Спроси Mozg
Открыть лучший ответ