М
Молодежь
К
Компьютеры-и-электроника
Д
Дом-и-сад
С
Стиль-и-уход-за-собой
П
Праздники-и-традиции
Т
Транспорт
П
Путешествия
С
Семейная-жизнь
Ф
Философия-и-религия
Б
Без категории
М
Мир-работы
Х
Хобби-и-рукоделие
И
Искусство-и-развлечения
В
Взаимоотношения
З
Здоровье
К
Кулинария-и-гостеприимство
Ф
Финансы-и-бизнес
П
Питомцы-и-животные
О
Образование
О
Образование-и-коммуникации
gdaniiiurik123
gdaniiiurik123
17.01.2020 16:23 •  Математика

Решит неравенства (x+2)(x--7)(x+7)< 30-3x

👇
Ответ:
WallBox
WallBox
17.01.2020
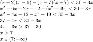
(x+2)(x-6)-(x-7)(x+7)\ \textless \ 30-3x&#10;\\x^2-6x+2x-12-(x^2-49)\ \textless \ 30-3x&#10;\\x^2-4x-12-x^2+49\ \textless \ 30-3x&#10;\\37-4x\ \textless \ 30-3x&#10;\\4x-3x\ \textgreater \ 37-30&#10;\\x\ \textgreater \ 7&#10;\\x \in (7;+\infty)
ответ: x \in (7;+\infty)
4,4(39 оценок)
Открыть все ответы
Ответ:
ната1187
ната1187
17.01.2020

8,4375 кг.

Пошаговое объяснение:

Дано: m(O2)=10кг=10•103г  

Найти: m(C6H10O5)n-?

Крахмал образуется в результате фотосинтеза и взаимопревращения углеводов:

6СО2 + 6Н2О -> С6Н12О6 + 6О2;                

nC6H12O6 -> (С6Н10О5)n + nH2O.

Суммарное уравнение имеет вид:

                           х г                  10•103        

6nСО2 + 6nН2О -> (С6Н10О5)n + nH2O + 6nО2;    

                         162n г               192 n г

Над формулами соединений О2 и (С6Н10О5)n записываем заданную в условии задачи массу кислорода (8•106г) и неизвестную массу крахмала (х г), а под формулами соединений - массы количества вещества согласно коэффициентам в химическом уравнении. Для этого вычисляем молярные массы (M=Mrг/моль) cоединений и, соответственно, массу 1 моль крахмала и 6n моль кислорода, ибо прореагировало 1 моль крахмала С6Н10О5 с образованием 6n моль кислорода O2.                  

Mr((-C6H10O5-)n)=(6•Ar(C)+10•Ar(H)+5•Ar(O))•n=(6•12+10•1+5•16)•n=

=(72+10+80)•n =162•n. Масса 1 моль=162n г.

Mr(O2)=2•Ar(O)=2•16=32, M(O2)=32 г/моль.  

Масса 1 моль=32 г, а масса 6n моль=192n г.

Составляем пропорцию и решаем ее:

по уравнению реакции образуется 162n г C6H10O5 и 192n г O2,

по условию задачи - х г С6Н10С5 - 10•103 г O2.

162n  / x  = 192n  / 10•103  

х  • 192n = 162n  • 10•103

х = 162n  • 10•103  /192n  

х = 8,4375•103 г = 8,4375 кг.

ответ: 8,4375 кг.

4,4(85 оценок)
Ответ:
kirillyamont2
kirillyamont2
17.01.2020

Теплоход, собственная скорость которого 24,5 км/ч, плывет по течению реки.

По условию задачи скорость течения реки равна 2,5 км/ч, значит данный теплоход будет двигаться по реке со скоростью:

24,5 + 2,5 = 27 км/ч.

Второй теплоход движется навстречу первому, а значит против течения реки.

Так как его собственная скорость равна 28,5 км/ч, то по реке он будет двигаться со скоростью:

28,5 - 2,5 = 26 км/ч.

Теплоходы двигаются навстречу друг другу, значит скорость их сближения равна сумме их скоростей:

27 + 26 = 53 (км/ч).

С такой скоростью теплоходы встретятся через:

185,5 : 53 = 3,5 часа.

ответ: 3,5 часа.

4,7(13 оценок)
Новые ответы от MOGZ: Математика
logo
Вход Регистрация
Что ты хочешь узнать?
Спроси Mozg
Открыть лучший ответ