М
Молодежь
К
Компьютеры-и-электроника
Д
Дом-и-сад
С
Стиль-и-уход-за-собой
П
Праздники-и-традиции
Т
Транспорт
П
Путешествия
С
Семейная-жизнь
Ф
Философия-и-религия
Б
Без категории
М
Мир-работы
Х
Хобби-и-рукоделие
И
Искусство-и-развлечения
В
Взаимоотношения
З
Здоровье
К
Кулинария-и-гостеприимство
Ф
Финансы-и-бизнес
П
Питомцы-и-животные
О
Образование
О
Образование-и-коммуникации
Ryfyss
Ryfyss
28.03.2023 15:03 •  Математика

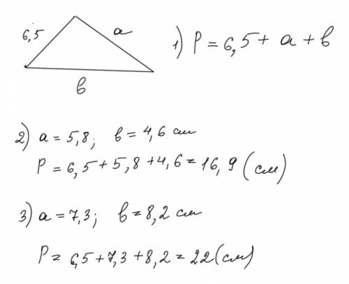
Решите : 1)одна из сторон треугольника 6,5,вторая сторона a см,третья сторона b .найдите выражения для нахождения периметра этого треугольника.2)найдите значения найденного выражения ,если: а)а=5,8 см; b=4,6 см; б)a=7,3 см; b=8,2 см .

👇
Ответ:
sofka123890
sofka123890
28.03.2023
Решение в прикрепленном файле.
Решите : 1)одна из сторон треугольника 6,5,вторая сторона a см,третья сторона b .найдите выражения д
4,7(88 оценок)
Открыть все ответы
Ответ:
planeta88
planeta88
28.03.2023
№1.R - радиус описанной окружности, r - радиус окружности, вписанной в квадрат, а - сторона правильного шестиугольника, х - сторона квадрата, S - площадь круга.R=a=20ответ: площадь круга, вписанного в квадрат, 628.№2.а - сторона правильного шестиугольникаответ: сторона правильного шестиугольника .№3.Каждый из пяти углов правильного пятиугольника равен.Если провести две диагонали из одного угла, то они разделят пятиугольник на три треугольника. Рассмотрим два треугольника, в которых две из сторон являются сторонами исходного пятиугольника. Эти треугольники равны по первому признаку равенства треугольников, кроме того, они оба равнобедренные. Величина равных углов равна . Угол между диагоналями будет равен ответ: угол между двумя диагоналями, проведенными из одной вершины правильного пятиугольника, равен .
4,7(56 оценок)
Ответ:
кккк51
кккк51
28.03.2023
Спускают в воду отходы производства,очистительные сооружения не справляются,и люди пьют грязную воду,плохо очищенную.
Многие воду покупают,чтобы не травить себя и своих детей.
Трубы заводов дымят,выбрасывая в воздух тонны грязных и ядовитых веществ,а мы этим дышим,от этого болеем.
Часто выбрасываются в воздух или попадают в воду радиоктивные отходы,поэтому выросла заболеваемость онкологией в больших городах.
А Питер и вообще занимает первое место в мире по количеству людей,больных онкозаболеваниями.
Я живу в этом прекрасном городе,люблю его,и как же больно смотреть на весь этот беспредел.
4,7(7 оценок)
Это интересно:
Новые ответы от MOGZ: Математика
logo
Вход Регистрация
Что ты хочешь узнать?
Спроси Mozg
Открыть лучший ответ