М
Молодежь
К
Компьютеры-и-электроника
Д
Дом-и-сад
С
Стиль-и-уход-за-собой
П
Праздники-и-традиции
Т
Транспорт
П
Путешествия
С
Семейная-жизнь
Ф
Философия-и-религия
Б
Без категории
М
Мир-работы
Х
Хобби-и-рукоделие
И
Искусство-и-развлечения
В
Взаимоотношения
З
Здоровье
К
Кулинария-и-гостеприимство
Ф
Финансы-и-бизнес
П
Питомцы-и-животные
О
Образование
О
Образование-и-коммуникации
alesyabogun135
alesyabogun135
19.02.2023 17:11 •  Математика

Скільки коренів має рівняння |х|/х=х

👇
Ответ:
6811694978ффф
6811694978ффф
19.02.2023
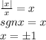
\frac{|x|}{x}=x \\
sgnx=x \\
x=б1

ответ:
Уравнение имеет два корня.
4,6(12 оценок)
Открыть все ответы
Ответ:
palos3323
palos3323
19.02.2023
1) 11 - 8 = 3 часа был в пути автобус
2) 3 * 56 = 168 км проехал автобус до выезда грузовика
3) 520 - 168 = 352 км расстояние между автобусом и грузовиком на момент выезда грузовика
4) 56 + 32 = 88 км/ч скорость сближения автобуса и грузовика
5) 352 : 88 = 4 часа - столько ехал до встречи грузовик
6) 4 + 3 = 7 часов ехал до встречи автобус
7) 7 * 56 = 392 км проехал автобус до встречи и на таком расстоянии от города А они встретились
8) 8 + 7 = 15 часов или 3 часа дня было когда они встретились

Подробнее - на -
4,4(94 оценок)
Ответ:
Begzodik
Begzodik
19.02.2023
Родители уехали в гости к моей тете. Они оставили меня дома одного, сказали что я уже очень взрослый и ответственный. Я очень обрадовался, что остаюсь дома один на целых 2 дня.
Когда родители уехали, я первым делом пошел в магазин. Купил там корм для моего кота Марсика и вишневый сок. Утром я вставал, кормил кота, а потом уходил на улицу. В обед приходил кормить Марсика и сам ел. А вечером уже был дома, отдыхал.
Однажды я ушел на улицу, забыв покормить Марсика. Настал обед, я пришел домой, и увидел как Марсик весь в вишневом соке, облизывает свою шерстку, Марсик даже испачкал белую простыню. Я знал что вишневый сок не отстирывается, если его сразу не замочить. И я как ракета залетел в ванну, и начал стирать простыню. Простыня не отстировалась, тогда уж я решил ее спрятать. Закинул ее пот диван и пошел играть на улицу. Уже завтра приехали родители. Папа сразу заметил кусок простыни и достал ее. Я испугался, что родители начнут ругать меня и никогда не оставят одного дома. Но они лишь усмехнулись и сказали: Эх ты растяпа)
4,5(43 оценок)
Это интересно:
Новые ответы от MOGZ: Математика
logo
Вход Регистрация
Что ты хочешь узнать?
Спроси Mozg
Открыть лучший ответ