М
Молодежь
К
Компьютеры-и-электроника
Д
Дом-и-сад
С
Стиль-и-уход-за-собой
П
Праздники-и-традиции
Т
Транспорт
П
Путешествия
С
Семейная-жизнь
Ф
Философия-и-религия
Б
Без категории
М
Мир-работы
Х
Хобби-и-рукоделие
И
Искусство-и-развлечения
В
Взаимоотношения
З
Здоровье
К
Кулинария-и-гостеприимство
Ф
Финансы-и-бизнес
П
Питомцы-и-животные
О
Образование
О
Образование-и-коммуникации
samsungj7
samsungj7
04.08.2021 06:23 •  Математика

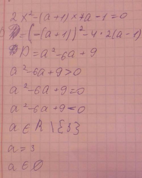
Найдите значение параметра а при котором разность корней уравнения 2х^2 - (a+1)x + a - 1=0 равна их произведению

👇
Ответ:
WIS1
WIS1
04.08.2021

ответ;

пошаговое обьяснения


Найдите значение параметра а при котором разность корней уравнения 2х^2 - (a+1)x + a - 1=0 равна их
4,6(57 оценок)
Открыть все ответы
Ответ:
olyarogova
olyarogova
04.08.2021

253985÷5 = 50797

- 2 5 3 9 8 5 5    

2 5     5 0 7 9 7  5 × 5 = 25

- 3 9         25 - 25 = 0

3 5         5 × 7 = 35

- 4 8        39 - 35 = 4

4 5        5 × 9 = 45

- 3 5       48 - 45 = 3

3 5       5 × 7 = 35

0       35 - 35 = 0

250324÷2 = 125162

- 2 5 0 3 2 4 2      

2      1 2 5 1 6 2  2 × 1 = 2

- 5            2 - 2 = 0

4            2 × 2 = 4

- 1 0           5 - 4 = 1

1 0           2 × 5 = 10

- 3          10 - 10 = 0

2          2 × 1 = 2

- 1 2         3 - 2 = 1

1 2         2 × 6 = 12

- 4        12 - 12 = 0

4        2 × 2 = 4

0        4 - 4 = 0

82551÷3 = 27517

- 8 2 5 5 1 3    

6     2 7 5 1 7  3 × 2 = 6

- 2 2          8 - 6 = 2

2 1          3 × 7 = 21

- 1 5         22 - 21 = 1

1 5         3 × 5 = 15

- 5        15 - 15 = 0

3        3 × 1 = 3

- 2 1       5 - 3 = 2

2 1       3 × 7 = 21

0       21 - 21 = 0

523125÷9 = 58125

- 5 2 3 1 2 5 9    

4 5     5 8 1 2 5  9 × 5 = 45

- 7 3          52 - 45 = 7

7 2          9 × 8 = 72

- 1 1         73 - 72 = 1

9         9 × 1 = 9

- 2 2        11 - 9 = 2

1 8        9 × 2 = 18

- 4 5       22 - 18 = 4

4 5       9 × 5 = 45

0       45 - 45 = 0

Пошаговое объяснение:

4,5(93 оценок)
Ответ:
никита20029
никита20029
04.08.2021

1) (3/7 * 1/4) * (-4) = 3/7 * (1/4 * (-4)) = 3/7 * (-1) = -3/7;

ответ: -3/7.

2) (-4 1/5 * 1,3) * 10/13 = (-4 1/5 * 1 3/10) * 10/13 = (-21/5 * 13/10) * 10/13 = -21/5 * (13/10 * 10/3) = -21/5 * 1 = -21/5 = -4 1/5;

ответ: -4 1/5.

3) (-5 6/7 * 3/13) * (-4 1/3) = (-41/7 * 3/13) * (-13/3) = -41/7 * (3/13 * (-13/3)) = -41/7 * (-1) = 41/7 = 5 6/7;

ответ: 5 6/7.

4) -(7 5/12 + 7/36) * 5 1/7 = -(89/12 + 7/36) * 36/7 = -89/12 * 36/7 - 7/36 * 36/7 = -89/12 * 36/7 - 1 = -267/7 - 1 = -267/7 - 7/7 = -274/7 = -39 1/7.

ответ: -39 1/7.

4,7(100 оценок)
Это интересно:
Новые ответы от MOGZ: Математика
logo
Вход Регистрация
Что ты хочешь узнать?
Спроси Mozg
Открыть лучший ответ