М
Молодежь
К
Компьютеры-и-электроника
Д
Дом-и-сад
С
Стиль-и-уход-за-собой
П
Праздники-и-традиции
Т
Транспорт
П
Путешествия
С
Семейная-жизнь
Ф
Философия-и-религия
Б
Без категории
М
Мир-работы
Х
Хобби-и-рукоделие
И
Искусство-и-развлечения
В
Взаимоотношения
З
Здоровье
К
Кулинария-и-гостеприимство
Ф
Финансы-и-бизнес
П
Питомцы-и-животные
О
Образование
О
Образование-и-коммуникации
Таня5463
Таня5463
07.12.2022 12:11 •  Математика

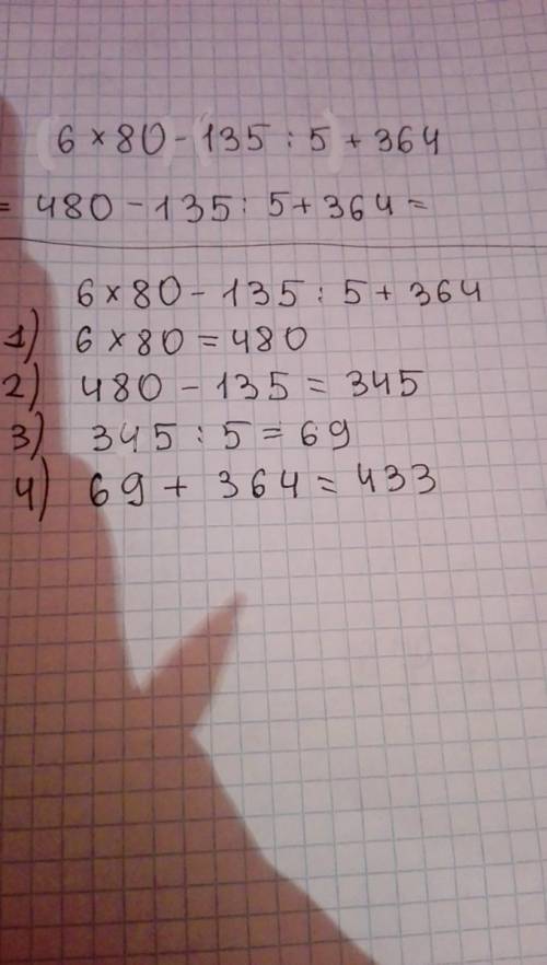
Найдите значение веражений 6*80-135: 5+364

👇
Ответ:
abdulaevamesed
abdulaevamesed
07.12.2022
6×80=480
135÷5=27
480-27=453
453+364=817
4,8(26 оценок)
Ответ:
DEM0KRAT
DEM0KRAT
07.12.2022
Решай слева на права
Найдите значение веражений 6*80-135: 5+364
4,6(86 оценок)
Открыть все ответы
Ответ:
ivancerbadji
ivancerbadji
07.12.2022
1)а.Сколько времени отдыхал?б.Сколько ехал?в.Какое расстояние? а. 12 * (1/6) = 12/6 = 2 часаб. 12 - 2 = 10 часовв. 10*85 = 850 км 2)Пять шестых всего времени он ехал, остальное отдыхал.пункт а) выпадает...пункт б выглядит так12 * (5/6) = 5*12 / 6 = 10 3) Половину времени ехал со скоростью 85 км/ч а вторую половину со скоростью 60 км/чДобавляются пунктыб1. Сколько времени ехал со скоростью 85 км/чб2. Сколько времени ехал со скоростью 60 км/чб3. Сколько проехал со скоростью 85 км/чб4. Сколько проехал со скоростью 60 км/ч б1. 10/2 = 5 часовб2. 10 - 5 = 5 часовб3. 5 * 85 = 425 кмб4. 5 * 60 = 300 кмв. 425 + 300 = 725 км! Вот

2 КОММЕНТАРИЯ  ОТМЕТИТЬ НАРУШЕНИЕ! 
4,4(35 оценок)
Ответ:
adelyavalieva1
adelyavalieva1
07.12.2022
12:6=2 ч отдыхал
12-2=10 ч ехал
85х10=850 км проехал между городами
1) на путь из одного города в другой автомобилист потратил 10 ч. каково расстояние между городами, если он ехал со скорость 85 км в ч?
85х10=850 км
2)На путь из одного города в другой автомобилист потратил 12ч. Из них шестую часть он ехал со скоростью 100 км в ч, а остальные со скоростью 85 км в ч. Какое расстояние между городами?
12:6=2 ч шестая часть затраченного времени
100х2=200 мк проехал со скорость 100 км в ч
12-2=10 ч время поездки со скоростью 85 км в ч
85х10=850 км проехал со скоростью 85 км в ч
200+850=1050 км расстояние между городами
4,5(76 оценок)
Это интересно:
Новые ответы от MOGZ: Математика
logo
Вход Регистрация
Что ты хочешь узнать?
Спроси Mozg
Открыть лучший ответ