М
Молодежь
К
Компьютеры-и-электроника
Д
Дом-и-сад
С
Стиль-и-уход-за-собой
П
Праздники-и-традиции
Т
Транспорт
П
Путешествия
С
Семейная-жизнь
Ф
Философия-и-религия
Б
Без категории
М
Мир-работы
Х
Хобби-и-рукоделие
И
Искусство-и-развлечения
В
Взаимоотношения
З
Здоровье
К
Кулинария-и-гостеприимство
Ф
Финансы-и-бизнес
П
Питомцы-и-животные
О
Образование
О
Образование-и-коммуникации
romamarunp016li
romamarunp016li
30.06.2020 23:05 •  Математика

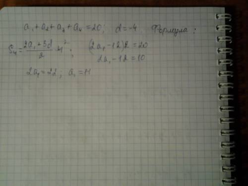
Дана арифметическая прогрессия сумма четырех ее первых членов равна 20 , разность -4 . найти первый член прогрессии

👇
Ответ:
Ланка30
Ланка30
30.06.2020
Применена формула суммы арифметической прогрессии
Дана арифметическая прогрессия сумма четырех ее первых членов равна 20 , разность -4 . найти первый
4,7(44 оценок)
Открыть все ответы
Ответ:
kkkddd90
kkkddd90
30.06.2020

Размер           Масса варенья      Количество       Всего

банки              в одной банке           банок             варенья

- - - - - - - - - - - - - - - - - - - - - - - - - - - - - - - - - - - - - - - - - - - - - - -

Большая              500 г                      6 шт                    ?

Маленькая          250 г                         ?                       ?

Итого                       -                               -                   6000 г

- - - - - - - - - - - - - - - - - - - - - - - - - - - - - - - - - - - - - - - - - - - - - - -

1) 500 · 6 = 3000 г - в шести больших банках;

2) 6000 - 3000 = 3000 г - оставшееся варенье;

3) 3000 : 250 = 12 шт. - столько маленьких банок понадобится.

ответ: 12 маленьких банок.

4,5(13 оценок)
Ответ:
nik65112
nik65112
30.06.2020
Правило.
1 При сложении двух чисел с разными знаками из большего модуля вычитают меньший и перед полученным числом ставят знак того слагаемого, модуль которого больше.
 2 При сложении двух чисел с одинаковыми знаками складывают их модули и перед полученным числом ставят их общий знак.
3 Чтобы вычислить сумму рациональных чисел, нужно отдельно сложить все положительные числа (заключив в скобки и поставив перед скобкой знак «+») и отдельно сложить все отрицательные числа(заключив в скобки и поставив перед скобкой знак «-»). Затем из большей по модулю суммы вычесть меньшую по модулю сумму, а перед полученным результатом поставить знак той суммы, модуль которой больше.
4,6(83 оценок)
Это интересно:
Новые ответы от MOGZ: Математика
logo
Вход Регистрация
Что ты хочешь узнать?
Спроси Mozg
Открыть лучший ответ