М
Молодежь
К
Компьютеры-и-электроника
Д
Дом-и-сад
С
Стиль-и-уход-за-собой
П
Праздники-и-традиции
Т
Транспорт
П
Путешествия
С
Семейная-жизнь
Ф
Философия-и-религия
Б
Без категории
М
Мир-работы
Х
Хобби-и-рукоделие
И
Искусство-и-развлечения
В
Взаимоотношения
З
Здоровье
К
Кулинария-и-гостеприимство
Ф
Финансы-и-бизнес
П
Питомцы-и-животные
О
Образование
О
Образование-и-коммуникации
Агаисмаил1
Агаисмаил1
29.10.2021 03:46 •  Математика

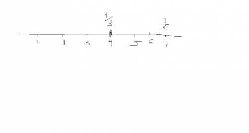
Отметьте на числовой прямой дроби. 1/3 и 7/6

👇
Ответ:
eldiraelf
eldiraelf
29.10.2021
Там отрезок 7 см.........................
Отметьте на числовой прямой дроби. 1/3 и 7/6
4,6(41 оценок)
Открыть все ответы
Ответ:
nkarlikova
nkarlikova
29.10.2021
1.Во-первых, непонятно какой автобус выехал с какого города и с какой скоростью. Если предположить, что дальний автобус ехал с большей скоростью(70 км/ч), то он будет догонять тот, который будет ехать с меньшей скоростью(40  км/ч), и тогда :
70-40=30 км/ч - скорость сближения
0,5 х 30 = 15 км - дальний автобус приблизится к первому
34-15=19 км - расстояние между ними через 0,5 часа
если у дальнего автобуса скорость меньше(40 км/ч), то он отстанет от первого на 15 км и расстояние между ними уже будет:
34+15 = 49 км
2. 94 : (70-40) = 3,13 час 
4,5(78 оценок)
Ответ:
superM228228
superM228228
29.10.2021
Владимир Дубровский потерял мать, и  отец отправил его на службу. Внезапно он узнает о том, что Троекуров забирает Кистиневку, а его отец присмерти. Владимир бросает все дела и едет к отцу. Отец умирает, а Владимир, сжигая свой дом вместе с приказными, уходит в леса со своими крестьянами. Потом он полюбил машу, дочь троекурова, и устроился учителем к её младшему брату - Саше. Отец маши хочет выдать её замуж за старика Верейского, Дубровский покидает дом Троекуровых, взяв с Маши обещание прибегнуть к его Но этот план сорвался иМашу обвенчали. На разбойничью группу Дубровского нападает отряд солдат, но их опрокинули, а он оказался раненым. После этого он распускает разбойников и уезжает за границу.
4,5(16 оценок)
Это интересно:
Новые ответы от MOGZ: Математика
logo
Вход Регистрация
Что ты хочешь узнать?
Спроси Mozg
Открыть лучший ответ