М
Молодежь
К
Компьютеры-и-электроника
Д
Дом-и-сад
С
Стиль-и-уход-за-собой
П
Праздники-и-традиции
Т
Транспорт
П
Путешествия
С
Семейная-жизнь
Ф
Философия-и-религия
Б
Без категории
М
Мир-работы
Х
Хобби-и-рукоделие
И
Искусство-и-развлечения
В
Взаимоотношения
З
Здоровье
К
Кулинария-и-гостеприимство
Ф
Финансы-и-бизнес
П
Питомцы-и-животные
О
Образование
О
Образование-и-коммуникации
toli4ka1337
toli4ka1337
02.04.2023 08:42 •  Математика

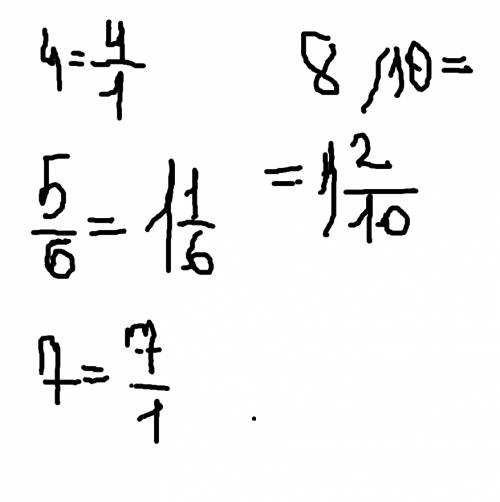
Запишите в виде неправильной дроби 4 5/6 7 8/10

👇
Ответ:
tsagol10
tsagol10
02.04.2023
Я старалась написать нормально,но увы у меня не вышло,простите)) :D
Запишите в виде неправильной дроби 4 5/6 7 8/10
4,5(99 оценок)
Ответ:
zhirola2013
zhirola2013
02.04.2023
29/6 (двадцать девять шестых) 78/10(семьдесят восемь десятых)
4,6(13 оценок)
Открыть все ответы
Ответ:
ymiyax
ymiyax
02.04.2023
Микроорганизмы представляют собой одноклеточные и многоклеточные мельчайшие организмы, невидимые глазом человека без специальной аппаратуры, населяющую всю планету и организм человека. Таким образом, становится ясно, что микроорганизмы или микробы, в число которых входят вирусы, бактерии, грибы, протисты, эукариоты, прокариоты и так далее, обитают практически везде. На каждую клетку организма человека может приходиться до сотни микроорганизмов, которые несут как пользу, так и вред.
Основная заслуга микроорганизмов заключается в том, что именно они отвечают за естественную очистку земли и водных ресурсов, а так же обеспечивают процесс разложения умерших животных и людей. В результате переработки мертвых организмов микробами образуется перегной, который является естественным удобрением для почвы и выращиваемых на ней растений.
Микроорганизмы более всего обитают в кишечнике человека, в котором их может насчитываться более трехсот видов. В желудке находятся микроорганизмы, которые позволяют быстрым образом расщеплять поступающую пищу и переваривать ее натуральным образом. В ротовой полости скапливается огромное количество бактерий, которые ведут к образованию заболеваний десен, зубов, разъеданию эмали и неприятному запаху изо рта.
Такие микроорганизмы, как вирусы, грибы и бактерии являются самыми опасными для человеческой жизни и жизни животных. Дело в том, эти мельчайшие организмы выживать в любых условиях окружающей среды, они мутируют и при к температурам, климату, воздействию антибиотиков и так далее. В результате с каждым годом образуются новые заболевания, которые часто приводят к летальному исходу. К их числу можно отнести гепатиты В и С, СПИД, чума, грипп и так далее.
Мы придумываем вакцины, которые губят ряд микроорганизмов, но рождают новые, еще более опасные и страшные нам. Именно микробы стали первыми организмами на земле и по всей вероятности на сегодняшний день именно они могут стать и последними. 
4,5(99 оценок)
Ответ:
alina20067
alina20067
02.04.2023

Пошаговое объяснение:

В каждом из чисел а) 431, б) 124 и в) 234 по две верных  цифры.


Если в числе а) 431 неверная цифра 1, то заменив 1 на 2, получим

число 432. Если при этом в числе 432 окажутся все верные цифры, то в числе в) 234 тоже все цифры - верные, но по условию это не так.

Если в числе а) заменить единицу на 5, то получим число 435. Если в числе 435 все цифры - верные, то в числе б) 124 две неверных цифры (нет цифр 3 и 5), но это не так. Следовательно, в числе а) 431 цифра 1 - верная.

Пусть в числе а) 431 неверная цифра 3. Её моно заменить на 2 или на 5. При замене цифры 3 на цифру 2 в числе а) 431 получается число 421, и если в числе 421 все цифры верные, то и в числе б) 124 все цифры верные, но это не так. Пусть тогда при замене цифры 3 на цифру 5 в числе а) в получившемся числе 451 все цифры верные, но тогда в числе в) 234 две неверных цифры, но это не так. Значит цифра 3 в числе а) 431 тоже верная. И поэтому неверной цифрой в числе а) является цифра 4.

Поменять её можно только на цифру 2 или на цифру 5. А так как цифра  4 присутствует во всех трёх числах а), б) и в), то её нужно менять во всех трёх числах. Цифры 5 нет ни в одном из трёх этих чисел. Поэтому, если мы в числе а) заменим 4 на 5, то и числах б) и в) тоже должны заменить 4 на 5. Получим числа 531, 125 и 235. В этих числах не все цифры одинаковые, а этого быть не должно.

Значит, все 3 числа состоят из цифр 1, 2 и 3.

Избавившись о цифры 4 во всех трёх числах, получим числа:

231, 123 и 231 (первое и третье числа одинаковые).

Вернёмся к исходным числам а) 431, б) 124, в) 234. Мы видим, что в числах а) и в) цифра 3 стоит на втором месте. Поэтому 3 - "бык". В числах б) и в) цифра 2 - "корова", в числе б) 1 - "бык". Искомое число - 132.

4,4(62 оценок)
Это интересно:
Новые ответы от MOGZ: Математика
logo
Вход Регистрация
Что ты хочешь узнать?
Спроси Mozg
Открыть лучший ответ