М
Молодежь
К
Компьютеры-и-электроника
Д
Дом-и-сад
С
Стиль-и-уход-за-собой
П
Праздники-и-традиции
Т
Транспорт
П
Путешествия
С
Семейная-жизнь
Ф
Философия-и-религия
Б
Без категории
М
Мир-работы
Х
Хобби-и-рукоделие
И
Искусство-и-развлечения
В
Взаимоотношения
З
Здоровье
К
Кулинария-и-гостеприимство
Ф
Финансы-и-бизнес
П
Питомцы-и-животные
О
Образование
О
Образование-и-коммуникации
206Sasha2000
206Sasha2000
29.08.2020 20:01 •  Математика

Вычислить сумму:
1 + \frac{2}{2} + \frac{3}{{2}^{2} } + \frac{4}{{2}^{3} } + + \frac{n}{ {2}^{n - 1} }

👇
Ответ:
vikt24oria
vikt24oria
29.08.2020

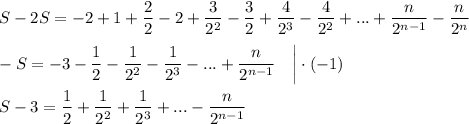
Обозначим сумму через S, тогда умножая равенство на (-2), мы

получим:

-2S=-2-2-\dfrac{3}{2}-\dfrac{4}{2^2}-...-\dfrac{n}{2^n}

Сложим почленно S и -2S, мы получим

S-2S=-2+1+\dfrac{2}{2}-2+\dfrac{3}{2^2}-\dfrac{3}{2}+\dfrac{4}{2^3}-\dfrac{4}{2^2}+...+\dfrac{n}{2^{n-1}}-\dfrac{n}{2^n}\\ \\ -S=-3-\dfrac{1}{2}-\dfrac{1}{2^2}-\dfrac{1}{2^3}-...+\dfrac{n}{2^{n-1}}~~~\bigg|\cdot (-1)\\ \\ S-3=\dfrac{1}{2}+\dfrac{1}{2^2}+\dfrac{1}{2^3}+...-\dfrac{n}{2^{n-1}}

S-3=\dfrac{\dfrac{1}{2}\bigg(1-\dfrac{1}{2^{n-2}}\bigg)}{1-\dfrac{1}{2}}-\dfrac{n}{2^{n-1}}~~\Rightarrow~~~ S=4-\dfrac{1}{2^{n-2}}-\dfrac{n}{2^{n-1}}

4,8(59 оценок)
Открыть все ответы
Ответ:
gek45
gek45
29.08.2020
Условие можно составить в виде  таблицы
                            кол-во свитеров,  расход пряжи на 1 св.,  всего расход ,
                                шт                              гр.                            гр.
свитер детский                  5                       ?
                                                                                                 ? одинаково
свитер д/взрослых            2                       500 

решение:
1) 2*500=1000 (гр) - всего расход на 2 свитера д/взрослых
2) 1000 / 5 = 200 (гр) - расход на 1 детский свитер
4,4(23 оценок)
Ответ:
Egorka200308
Egorka200308
29.08.2020
Условие можно составить в виде  таблицы
                            кол-во свитеров,  расход пряжи на 1 св.,  всего расход ,
                                шт                              гр.                            гр.
свитер детский                  5                       ?
                                                                                                 ? одинаково
свитер д/взрослых            2                       500 

решение:
1) 2*500=1000 (гр) - всего расход на 2 свитера д/взрослых
2) 1000 / 5 = 200 (гр) - расход на 1 детский свитер
4,6(39 оценок)
Новые ответы от MOGZ: Математика
logo
Вход Регистрация
Что ты хочешь узнать?
Спроси Mozg
Открыть лучший ответ