М
Молодежь
К
Компьютеры-и-электроника
Д
Дом-и-сад
С
Стиль-и-уход-за-собой
П
Праздники-и-традиции
Т
Транспорт
П
Путешествия
С
Семейная-жизнь
Ф
Философия-и-религия
Б
Без категории
М
Мир-работы
Х
Хобби-и-рукоделие
И
Искусство-и-развлечения
В
Взаимоотношения
З
Здоровье
К
Кулинария-и-гостеприимство
Ф
Финансы-и-бизнес
П
Питомцы-и-животные
О
Образование
О
Образование-и-коммуникации
AngelRush0
AngelRush0
24.09.2022 05:17 •  Математика

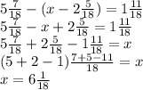
5целых 7/18-(х-2 5/18)=1 целых 11/18

👇
Ответ:
natalia27347
natalia27347
24.09.2022
5 \frac{7}{18}-(x-2 \frac{5}{18} ) =1 \frac{11}{18} \\ 5 \frac{7}{18}-x+2 \frac{5}{18} =1 \frac{11}{18} \\ 5 \frac{7}{18}+2 \frac{5}{18}-1 \frac{11}{18} =x \\ (5+2-1) \frac{7+5-11}{18}=x \\ x= 6\frac{1}{18}
4,5(87 оценок)
Открыть все ответы
Ответ:

4 часа 50 минут... минутная стрелка -60 градусов от 12 часов, часовая стрелка между цифрами 4 и 5 (120-150 градусов)

В зеркале все наоборот...

минутная стрелка +60 градусов от 12 часов (что соответствует 10 минут от текущего часа)

часовая стрелка между 120 и 150 градусами до 12 часов, что соответствует положению между цифрами 7 и 8 часов...

 

Следовательно на самом деле было 7 часов 10 минут...

Если было утро, то на автобус он уже опоздал,

если вечер, то можно лечь спать и не париться... до экскурсии еще долго ;)

4,6(54 оценок)
Ответ:
alena7571
alena7571
24.09.2022
4 часа 50 минут... минутная стрелка -60 градусов от 12 часов, часовая стрелка между цифрами 4 и 5 (120-150 градусов)В зеркале все наоборот...минутная стрелка +60 градусов от 12 часов (что соответствует 10 минут от текущего часа)часовая стрелка между 120 и 150 градусами до 12 часов, что соответствует положению между цифрами 7 и 8 часов... Следовательно на самом деле было 7 часов 10 минут...Если было утро, то на автобус он уже опоздал,если вечер, то можно лечь спать и не париться... до экскурсии еще долго ;)
4,4(5 оценок)
Новые ответы от MOGZ: Математика
logo
Вход Регистрация
Что ты хочешь узнать?
Спроси Mozg
Открыть лучший ответ