М
Молодежь
К
Компьютеры-и-электроника
Д
Дом-и-сад
С
Стиль-и-уход-за-собой
П
Праздники-и-традиции
Т
Транспорт
П
Путешествия
С
Семейная-жизнь
Ф
Философия-и-религия
Б
Без категории
М
Мир-работы
Х
Хобби-и-рукоделие
И
Искусство-и-развлечения
В
Взаимоотношения
З
Здоровье
К
Кулинария-и-гостеприимство
Ф
Финансы-и-бизнес
П
Питомцы-и-животные
О
Образование
О
Образование-и-коммуникации
Шпсхрчз
Шпсхрчз
05.02.2023 13:23 •  Математика

Найти производные dy/dx заданных функций: а) y= (2x+1)^1/4 б) y=ln(3x - 5) * e^-2x в) y=(2x+5)/(1 + sin2x) г) y=arctgx^3

👇
Ответ:
vita9251
vita9251
05.02.2023
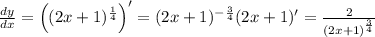
A)
\frac{dy}{dx}=\left((2x+1)^{\frac{1}{4}}\right)'=(2x+1)^{-\frac{3}{4}}(2x+1)'=\frac{2}{(2x+1)^{\frac{3}{4}}}
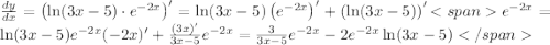
б)
\frac{dy}{dx}=\left(\ln(3x-5)\cdot{e^{-2x}}\right)'=\ln(3x-5)\left(e^{-2x}\right)'+\left(\ln(3x-5)\right)'{e^{-2x}}=\ln(3x-5)e^{-2x}(-2x)'+\frac{(3x)'}{3x-5}e^{-2x}=\frac{3}{3x-5}e^{-2x}-2e^{-2x}\ln(3x-5)
4,8(78 оценок)
Открыть все ответы
Ответ:
мыпоммрт
мыпоммрт
05.02.2023
V(куба)= a³, где a - ребро куба.

Предположим, что ребро куба было 2 см.
Тогда его объём был 8 см³.
Увеличиваем в 2 раза длину ребра, то есть оно будет 4 см.
А объём при этом станет 64 см³. 
Он увеличился у 8 раз, потому что 64/8= 8.
Аналогично будет при любых значениях длины ребра.

Теперь увеличим длину ребра в 3 раза.
Предположим ребро 3 см.
Тогда объём такого куба 27 см³.
После увеличения ребро станет 9 см, а объём - 729 см³;
То есть объём увеличился у 27 раз.

Так же само уменьшаеться, в те же разы.

Теперь к задаче
Переведём всё в дм:
1 м= 10 дм;
70 см = 7 дм;
50 см= 5 дм;
Тогда объём этого бака 10* 5* 7= 350 дм³;
Маса всей воды в этом баке: 350* 1= 350 (кг).
4,7(93 оценок)
Ответ:
danilohca
danilohca
05.02.2023
Среди чисел А и А+13 только одно трёхзначное.
Тогда возможно, что число А двузначное, А+13 трёхзначное. Или может быть, что число А трёхзначное, А+13 четырёхзначное.
Рассмотрим эти два случая.
Пусть А двузначное, А+13 - трёхзначное.
Тогда А от 87 до 99. Соответственно получится А+13 от 100 до 112.
Это  13 вариантов:
87; 87+13=100
88; 88+13=101
89; 89+13=102
...
99; 99+13=112

Пусть А трёхзначное число, А+13 - четырёхзначное.
Тогда А от 987 до 999. Соответственно А+13 от 1000 до 1012.
Это ещё 13 вариантов:
987; 987+13=1000
988; 988+13=1001
989; 989+13=1002
...
999; 999+13=1012

13+13=26
ответ: 26 чисел.
4,8(16 оценок)
Новые ответы от MOGZ: Математика
logo
Вход Регистрация
Что ты хочешь узнать?
Спроси Mozg
Открыть лучший ответ