М
Молодежь
К
Компьютеры-и-электроника
Д
Дом-и-сад
С
Стиль-и-уход-за-собой
П
Праздники-и-традиции
Т
Транспорт
П
Путешествия
С
Семейная-жизнь
Ф
Философия-и-религия
Б
Без категории
М
Мир-работы
Х
Хобби-и-рукоделие
И
Искусство-и-развлечения
В
Взаимоотношения
З
Здоровье
К
Кулинария-и-гостеприимство
Ф
Финансы-и-бизнес
П
Питомцы-и-животные
О
Образование
О
Образование-и-коммуникации
umka2345
umka2345
21.08.2022 09:52 •  Математика

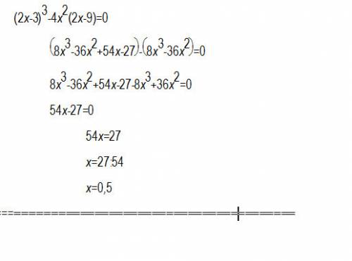
Решите уравнение 1) (2x-3)³-4x² (2x-9)=0

👇
Ответ:
blablabla43
blablabla43
21.08.2022
===========================================
Решите уравнение 1) (2x-3)³-4x² (2x-9)=0
4,4(90 оценок)
Открыть все ответы
Ответ:
ррр322
ррр322
21.08.2022

При умножении на 10, 100, 1000 и так далее, сдвигаем запятую от числа настолько цифр вправо, сколько нулей содержится во втором множителе; если запятой нет, или множитель больше количества чисел после неё, то добавляем столько нулей, насколько цифр в 10, 100, 1000... больше, чем в первом числе

Проще говоря, просто переносим запятую вправо на количество нулей во 2 числе, если ее нет или после неё цифр меньше чем во 2 числе, то добавляем 0

Получаем, что

54,29 · 1000 (переносим запятую на 3 цифры, поскольку в 1000 три нуля) = 54 290

ответ: 54 290

4,5(35 оценок)
Ответ:
razum3466
razum3466
21.08.2022
Завдання33
Розв'язання. Позначимо через а1, а2, а3, а4, а5, а6 числа, про які сказано в умові задачі. Виразимо всі ці числа через а1 і а2:

а3 = а1 + а2;
а4 = а2 + а3 = а1 + 2а2;
а5 = а3 + а4 = 2а1 + 3а2;
а6 = а4 + а5 = 3а1 + 5а2.

Маємо:

а1 + а2 + а3 + а4 + а5 + а6 =
= (1 + 1 + 1 + 2 + 3) · а1 + (1 + 1 + 2 + 3 + 5) · а2 =
= 8а1 + 12а2 = 4 · (2а1 + 3а2) = 4а5 = 4 · 7 = 28.
Відповідь: 28.
Завдання 34
Доведення (методом від супротивного). Припустимо, що у кожного школяра правий сусід не нижче від лівого. Тоді школярі на непарних місцях стоять у порядку неспадання, якщо рахувати зліва направо. Звідси випливає, що самий правий школяр не нижчий від самого лівого. Отримана суперечить з умовою задачі свідчить про хибність припущення.
Завдання 35

Доведення. У результаті виконання вказаних дій через t хвилин можна отримати число 2хt · 3хt. Тут t — кількість хвилин від написання першого числа, х0 = 2, y0 = 1, бо 12 = 22 · 31. Для кожного невід'ємного цілого t справджується одне з двох висловлювань:

або хt + 1 = хt ± 1 i yt + 1 = yt;
або хt + 1 = хt i yt + 1 = yt ± 1.
Отже, парність суми хt + yt змінюється щохвилини. Вона змінюється через непарну кількість хвилин, а через парну кількість хвилин стає такою самою, якою була спочатку.

х0 + y0 = 2 + 1 = 3 — непарне число.

х60 + y60 також має бути непарним, тому не може дорівнювати 4 = 1 + 3.

Отже, через 60 хвилин на дошці буде записано число, відмінне від 54 = 21 · 33.
4,7(25 оценок)
Это интересно:
Новые ответы от MOGZ: Математика
logo
Вход Регистрация
Что ты хочешь узнать?
Спроси Mozg
Открыть лучший ответ