М
Молодежь
К
Компьютеры-и-электроника
Д
Дом-и-сад
С
Стиль-и-уход-за-собой
П
Праздники-и-традиции
Т
Транспорт
П
Путешествия
С
Семейная-жизнь
Ф
Философия-и-религия
Б
Без категории
М
Мир-работы
Х
Хобби-и-рукоделие
И
Искусство-и-развлечения
В
Взаимоотношения
З
Здоровье
К
Кулинария-и-гостеприимство
Ф
Финансы-и-бизнес
П
Питомцы-и-животные
О
Образование
О
Образование-и-коммуникации
margarinfox
margarinfox
27.08.2022 13:53 •  Математика

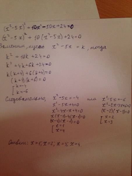
Решите (х^2-5х)^2+10х^2-50х+24=0, надо до завтра,решите

👇
Ответ:
Сонька2808
Сонька2808
27.08.2022
Решение на фотографии
Решите (х^2-5х)^2+10х^2-50х+24=0, надо до завтра,решите
4,8(14 оценок)
Открыть все ответы
Ответ:
Polinakovta
Polinakovta
27.08.2022

В рыбный магазин привезли 4 бочки с сельдью,по 126 кг в каждой. За неделю магазин продал 2 бочки и ещё 88 кг. Остальную

сельдь продали в течение второй недели. Сколько килограммов сельди было продано за вторую неделю?

Первым делом найдем количество килограмм сельди в 4-х бочках, то есть сколько всего было. Для этого нужно умножить вес одной бочки на их количество.

126 * 4 = 504 (кг) - сельди всего.

Теперь узнаем сколько килограмм рыбы было продано, если это 2 бочки и 88 кг.

2 * 126 + 88 = 252 + 88 = 340 (кг) - было продано.

Или

504 : 2 + 88 = 252 + 88 = 340 (кг).

Если отнять вес сельди при привозе от той, которую продали, то узнаем остаток. Это и будет количество, которое продали в течении второй недели.

504 - 340 = 164 (кг).

4,7(76 оценок)
Ответ:
VeraLife1
VeraLife1
27.08.2022

1) а) 16 б) -0,5 в) -2 г) 6 д) 0 е) Решений нет ж) 0 з) -5

2) а) -4 б) -1 в) -2 г) -6 д) 0 е) Решений нет ж) 0 з) 6,4

Объяснение:

1) а) 2х-5=27

2х=32

х=16

б) -3+4у=-5

4у=-2

у=-0,5

в) 2х-1=4х+3

2х=-4

х=-2

г) 1/3у+2=-1/6у+5

1/3у+1/6у=3

3/6у=3

0,5у=3

у=6

д) 2х-(5х-6)=7+(х-1)

-3х+6=6+х

-4х=0

х=0

е) 3х-1=2х-(4-х)

3х-1=3х-4

3х-3х=-3

0х=-3?

Решений нет

ж) 2(х-3)=-3(х+2)

2х-6=-3х-6

5х=0

х=0

з) 2(х-5)-7(х+2)=1

2х-10-7х-14=1

-5х=25

х=-5

2) а) 4-3х=16

-3х=12

х=-4

б) 5у-7=-12

5у=-5

у=-1

в) 7х-1=2х-11

5х=-10

х=-2

г) 1/2у-3=-1/6у-7

4/6у=-4

у=-4/(4/6)

у=-6

д) 5х-(2х-9)=6+(х+3)

3х+9=9+х

2х=0

х=0

е) 7х-8=4х-(1-3х)

7х-8=7х-1

7х-7х=7

0х=7

Решений нет

ж) 3(х+4)=-4(х-3)

3х+12=-4х+12

7х=0

х=0

з) 3(х+2)-8(х-4)=-2

3х+6-8х+24=-2

-5х=-32

х=6,4

4,6(35 оценок)
Новые ответы от MOGZ: Математика
logo
Вход Регистрация
Что ты хочешь узнать?
Спроси Mozg
Открыть лучший ответ