М
Молодежь
К
Компьютеры-и-электроника
Д
Дом-и-сад
С
Стиль-и-уход-за-собой
П
Праздники-и-традиции
Т
Транспорт
П
Путешествия
С
Семейная-жизнь
Ф
Философия-и-религия
Б
Без категории
М
Мир-работы
Х
Хобби-и-рукоделие
И
Искусство-и-развлечения
В
Взаимоотношения
З
Здоровье
К
Кулинария-и-гостеприимство
Ф
Финансы-и-бизнес
П
Питомцы-и-животные
О
Образование
О
Образование-и-коммуникации
Asker1231
Asker1231
26.01.2023 08:46 •  Математика

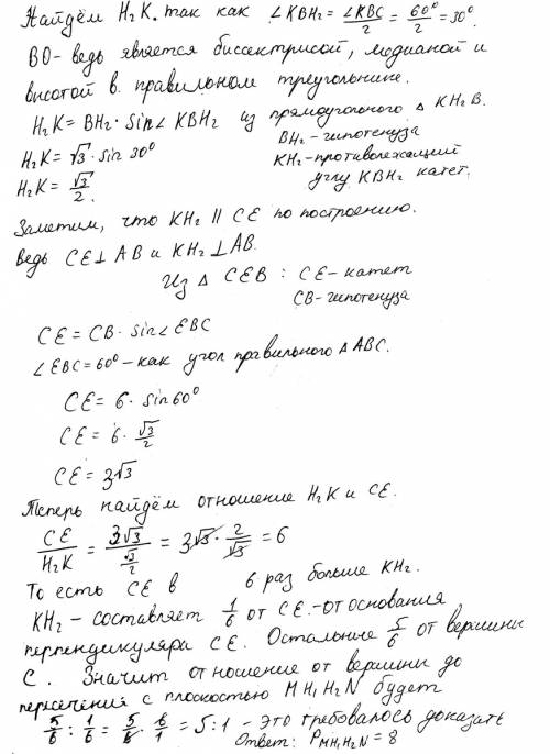
Вправильной треугольной пирамиде sabc сторона основания ab равна 6, а боковое ребро sa равно 4. точки m и n - середины рёбер sa и sb соответственно. плоскость а содержит прямую mn и перпендикулярна плоскости основания пирамиды. 1. докажите что плоскость а делит медиану ce основания в отношении 5: 1, считая от точки с. найдите периметр многоугольника, являющегося сечением пирамиды sabc плоскостью а.

👇
Ответ:
Баэхич
Баэхич
26.01.2023
Решение в приложении
Вправильной треугольной пирамиде sabc сторона основания ab равна 6, а боковое ребро sa равно 4. точк
Вправильной треугольной пирамиде sabc сторона основания ab равна 6, а боковое ребро sa равно 4. точк
Вправильной треугольной пирамиде sabc сторона основания ab равна 6, а боковое ребро sa равно 4. точк
4,6(65 оценок)
Открыть все ответы
Ответ:
Lizavitafjfjsj
Lizavitafjfjsj
26.01.2023
27 :9 =3 клетки . это на сколько  клеток хватило морковки которую принесла девочка.                                                                                                                       18 : 9 = 2 клетки  с кроликами накормил мальчик.                                                   27 + 18 = 45 мор. принесли дети всего.                                                                    ( 27 + 18 ): 9 = 5 клеток с кроликами накормили дети всего.                                                                          
4,6(50 оценок)
Ответ:
Faulmaran
Faulmaran
26.01.2023
1. научно-популярный стиль текста

2. Обнаружив добычу, он набирает высоту и стремительно пикирует вниз, ударяя ее сложенными и прижатыми к туловищу лапами.
добычу - сущ., В.п.
высоту - сущ., В.п.
к туловищу - сущ., Д,п.
лапами - сущ., Т.п.

3. Я начал со слов "Не малую скорость могут развивать альбатросы"
    а) парящие, часто, широкие, восходящих, совершать
    б) развивать - развИть, развИтие, океанические - океАн, водой - вОды, становятся- стать, кораблей - корАбль, легко - лЕгче, настигает - настИгнет, обгоняет - обгОн, широкие -ширь, восходящих - восхОд, 
    в) кораблей - корабельный, легко - легонько
    г) полёт, использует, покачивая, покрывая

4. Ученик сделал не правильно, т.к. парИть - значит летать, а не от слова ПАР - пАриться. Это словарное слово - нужно запомнить.

9. Скорость иглохвостых стрижей может достигать до 170 км в час. Стрижи могут находиться в воздухе 2-4 года. В это время они всё проделывают в воздухе: спят, пьют, едят, купаются, строят гнезда. Стрижи - поистине асы неба, не зря говорят, что они - "дети воздуха".

10. Очень даже влияет. Загрязнение океана приведет к вымиранию этих птиц. Они питаются рыбой, кальмарами из океана, гнездятся в отдаленных островах океана и живут они там.
4,6(97 оценок)
Это интересно:
Новые ответы от MOGZ: Математика
logo
Вход Регистрация
Что ты хочешь узнать?
Спроси Mozg
Открыть лучший ответ