М
Молодежь
К
Компьютеры-и-электроника
Д
Дом-и-сад
С
Стиль-и-уход-за-собой
П
Праздники-и-традиции
Т
Транспорт
П
Путешествия
С
Семейная-жизнь
Ф
Философия-и-религия
Б
Без категории
М
Мир-работы
Х
Хобби-и-рукоделие
И
Искусство-и-развлечения
В
Взаимоотношения
З
Здоровье
К
Кулинария-и-гостеприимство
Ф
Финансы-и-бизнес
П
Питомцы-и-животные
О
Образование
О
Образование-и-коммуникации
Yana05050
Yana05050
16.09.2020 02:05 •  Математика

Ежемесячный доход семьи складывается из зарплаты отца и зарплаты матеры. зарплату отца увеличили на 35%, а зарплату матери – на 5%, в результате чего семейный доход увеличился на 30%. во сколько раз зарплата отца до повышения была больше зарплаты матери?

👇
Ответ:
madina310
madina310
16.09.2020

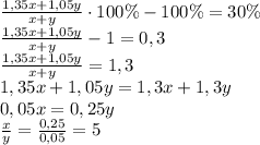
З/п отца x рублей, з/п матери y руб. Семейный доход (x+y) руб.

Когда отцу увеличили з/п на 35%, он стал получать x+x*35% = x+0,35x = 1,35x руб, когда матери увеличили з/п на 5%, она стала получать y+y*5% = y+0,05y = 1,05y руб, и семуный доход составил (1,35x+1,05y). Этот доход на 30% болше первоначального, то есть

\frac{1,35x+1,05y}{x+y}\cdot100\%-100\%=30\%\\\frac{1,35x+1,05y}{x+y}-1=0,3\\\frac{1,35x+1,05y}{x+y}=1,3\\1,35x+1,05y=1,3x+1,3y\\0,05x=0,25y\\\frac xy=\frac{0,25}{0,05}=5

4,7(73 оценок)
Открыть все ответы
Ответ:
polinasenchenk
polinasenchenk
16.09.2020

ответ:h=117.

Пошаговое объяснение:

Треугольник - равносторонний, значит все его углы равны 180:3=60 градусам. Его высота вычислим из прямоугольного треугольника, у которого гипотенуза совпадает со стороной исходного треугольника, один из катетов - искомая высота, а второй из катетов - равен половине стороны исходного треугольника, так как, высота еще в данном случае является и медианой. Высота лежит напротив угла в 60 градусов. Значчит она равна гипотенузе (стороне исходного треугольника), умноженной на .

4,6(29 оценок)
Ответ:
darkishlord
darkishlord
16.09.2020

1)60% девочек больше мальчиков

2)1 - первая теория: 40% девочек это 100% мальчиков получается 100%(я не поняла смысл)

2 - вторая теория: 150%

Пошаговое объяснение:

1)20 : 20 = 1 (5%)

8 : 1 = 8 (раз)

5 * 8 = 40 (%)

8 = 40%

20 - 8 = 12 (60%)

на 60% больше

2) 8 это 40% девочек а также 100% мальчиков

мальчиков 100% меньше чем девочек

но возможно можно сказать что 0,2 это 1% от 20(девочки)

теперь нужно разгадать сколько % мальчиков равна этому числу

0,08 это 1% мальчиков 0,16 это 2% мальчиков 0,2 это 2,5% мальчиков

1% девочек равен 2,5% мальчиков, если 40% девочек равен 100% мальчиков то 60% девочек равен 150% мальчиков

4,5(93 оценок)
Это интересно:
Новые ответы от MOGZ: Математика
logo
Вход Регистрация
Что ты хочешь узнать?
Спроси Mozg
Открыть лучший ответ