М
Молодежь
К
Компьютеры-и-электроника
Д
Дом-и-сад
С
Стиль-и-уход-за-собой
П
Праздники-и-традиции
Т
Транспорт
П
Путешествия
С
Семейная-жизнь
Ф
Философия-и-религия
Б
Без категории
М
Мир-работы
Х
Хобби-и-рукоделие
И
Искусство-и-развлечения
В
Взаимоотношения
З
Здоровье
К
Кулинария-и-гостеприимство
Ф
Финансы-и-бизнес
П
Питомцы-и-животные
О
Образование
О
Образование-и-коммуникации
dashashirobokova
dashashirobokova
15.11.2020 15:47 •  Математика

План по изготовлению деталей выполнен одновременно на двух станках за 3,75 часа если бы половину деталей изготовили на первом станке,а оставшиеся детали-на втором,производительность которого выше,то план выполнили бы за 8 часов. за сколько часов можно выполнить план только на первом станке?

👇
Ответ:
умник1594
умник1594
15.11.2020
Примем объем работы за 1.
1 : 3,75 = 4/15 - совместная производительность станков.
Пусть первый станок может выполнить весь заказ за х часов,
тогда его производительность - 1/х.
Производительность второго станка: (4/15 - 1/х).
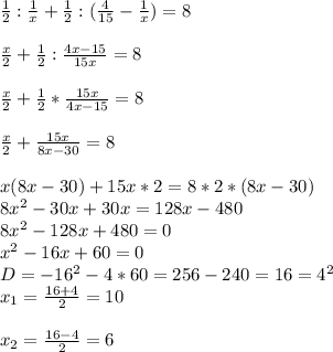
\frac{1}{2} : \frac{1}{x} + \frac{1}{2}: ( \frac{4}{15} - \frac{1}{x} )=8 \\ \\ \frac{x}{2} + \frac{1}{2}: \frac{4x-15}{15x} =8 \\ \\ \frac{x}{2} + \frac{1}{2} * \frac{15x}{4x-15} =8 \\ \\ \frac{x}{2} + \frac{15x}{8x-30} =8 \\ \\ x(8x-30)+15x*2=8*2*(8x-30) \\ 8 x^{2} -30x+30x=128x-480 \\ 8 x^{2} -128x+480=0 \\ x^{2} -16x+60=0 \\ D=-16 ^{2} -4*60=256-240=16=4^{2} \\ x_{1} = \frac{16+4}{2} =10 \\ \\ x_{2} = \frac{16-4}{2} =6 \\ 
Производительность первого станка ниже, значит, полностью весь заказ он может выполнить за 10 часов.
ответ: 10 часов.
4,8(15 оценок)
Открыть все ответы
Ответ:
morozhenka05
morozhenka05
15.11.2020

1) Продолжение фразы: Математическая дробь может быть использована как часть пропорции. (а/в=1/3)

Математическая дробь может быть использована как замена процентов. (25% = 25/100 = 1/4)

2) Предложения из 5 слов про дроби:

Дробь –   часть (или несколько)  целого (1:5*2=2/5)

Дроби нужны для перевода величин. (1 Гкал = 4,2 ГДж)

Курс обмена валют – десятичная дробь. (Курс доллара – 73,63 рубля)

Дробью измеряются площади сельскохозяйственных угодий  (сотка это и 100кв.м и 1/100 часть гектара.)

Дроби  применяются для вычисления времени  (3/4 часа =45мин,  квартал =1/4 года)

Дроби нужны для деления целого (в быту – суп на порции)

Дроби нужны для нахождения числа.  (число, 2/3 которого равны 1000, это 1500)

Одни величины   выражаются дробями других  (1мм = 1/100м)

Результаты очков конкурсантов – часто дробные. (9, )

Процент магазинной скидки – это дробь. ( 20% скидки от 300 рублей –это уменьшение на 1/5, на 60 рублей)

Рукав три четверти – это дробь ( мода)

Пол-царства в сказках – это дробь!  (литература)

Четвертушка блокадного хлеба – это дробь. (жизнь)

3) Науки где применяются дроби:
Агрономия, Антропология, Астрономия, Археология, , Биология, Геология, География, История, Кораблестроение, Космонавтика, Математика, Материаловедение, Машиностроение,  Медицина, Механика ,Нанотехнология, Педагогика, Пищевые технологии и Кулинария, Политология , Радиотехника, Социология, Строительство и Архитектура, Теплотехника, Физика,  Химия, Экономика
Трудно найти, где НЕ применяется дроби!

 
4,7(13 оценок)
Ответ:
Жил-был, не кому не мешал, братец кролик. Жил, да не скучал, да и некогда емк скучать то было. То огород нужно прибрать, то морковкой к зиме запастись, то и вовсе забор ветром унесло, пришлось чинить.
Как-то, тихим зимним вечером, сидел кролик и гахету читал да морковку грыз, вдруг сышит, стук. Подумал показалось. Читает дальше и вдруг опять: "Стук,стук"
Вышел братец на крыльцо и видит:
Стоит лиса, вся в снегу, плачет.
Пригласил заяц лисичку-сестричку в дом, согрел, чаем напоил да накормил.
Начал он распрашивать лису, почему же она поздно вечеромв мороз оказалась так далеко от дома. Проговорили они всю ночь.
Так и подружились.
4,7(6 оценок)
Это интересно:
Новые ответы от MOGZ: Математика
logo
Вход Регистрация
Что ты хочешь узнать?
Спроси Mozg
Открыть лучший ответ