М
Молодежь
К
Компьютеры-и-электроника
Д
Дом-и-сад
С
Стиль-и-уход-за-собой
П
Праздники-и-традиции
Т
Транспорт
П
Путешествия
С
Семейная-жизнь
Ф
Философия-и-религия
Б
Без категории
М
Мир-работы
Х
Хобби-и-рукоделие
И
Искусство-и-развлечения
В
Взаимоотношения
З
Здоровье
К
Кулинария-и-гостеприимство
Ф
Финансы-и-бизнес
П
Питомцы-и-животные
О
Образование
О
Образование-и-коммуникации
mozhnj
mozhnj
11.12.2020 20:04 •  Математика

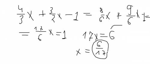
Решите уравнение, .. (2/3)^2х-(3/2)^-х-1=0 ответы: 1)1 2)1; (2/3)^2/3 3)2/3 4)0; 1 5)0; 2/3

👇
Ответ:
Димасик2017
Димасик2017
11.12.2020
Відповідь...................
Решите уравнение, .. (2/3)^2х-(3/2)^-х-1=0 ответы: 1)1 2)1; (2/3)^2/3 3)2/3 4)0; 1 5)0; 2/3
4,6(13 оценок)
Открыть все ответы
Ответ:
luuba2007
luuba2007
11.12.2020
Багато мов є на світі. Кожна з них неповторна . Деякі люди говорять на декількох мовах , що дає їм можливість спілкуватися з різними людми інших країн. Знати дві мови це дуже добре. Можна стати перекладачем або вчителем . Люди які знають п'ять мов ато і більше дуже розумні терплячі , бо щоб вивчити одну мову потрібно вчити її не один рік. Зараз дуже важливо знати Англійська , Російська, Німецька , тому що без них не обійтися! Майже в кожній роботі є іноземна мова . Чим більше мов знвет людина, тим мудріше він. вивчати мову іншої національності - це не тільки правила правопису і граматики , це не велика історія про країну . В Англії жовтня це не одухотворений предмет . Перші емігранти приїхали канаду в столітті. Вони були Англійцями і фанцузамі . Вивчення мов це шматочок Сторі країни. Кожна людина повинна любити свою Батьківщину і мову.
4,5(16 оценок)
Ответ:
Nastysha222
Nastysha222
11.12.2020
1)
Определять стороны горизонта и представлять себе, где находится юг, север, восток и запад; 
Определять своё местонахождение на местности относительно местных предметов, а также форм рельефа (холм, овраг, берег реки и др.); 
Выбрать нужное направление движения, чтобы выйти в намеченное место; 
Выдерживать во время движения выбранное направление, чтобы не сбиться с намеченного пути. 

2)
Мох растет на северной стороне дерева.
Если дерево отклонено, то скорее всего оно отклонено в южную сторону.
Смотреть на закат и рассвет.
Полярная звезда всегда указывает на север.

3)
1. Взять всё необходимое.(Спички, Аптечку, Фонарик и т.д)
2. Взять суточный рацион питания. Даже можно взять с собой больше еды на случай если с вами случиться беда.
3. (Смотря по погоде) Одеться. (При необходимости переодеться взять с собой сменную одежду.)
4,6(1 оценок)
Новые ответы от MOGZ: Математика
logo
Вход Регистрация
Что ты хочешь узнать?
Спроси Mozg
Открыть лучший ответ