М
Молодежь
К
Компьютеры-и-электроника
Д
Дом-и-сад
С
Стиль-и-уход-за-собой
П
Праздники-и-традиции
Т
Транспорт
П
Путешествия
С
Семейная-жизнь
Ф
Философия-и-религия
Б
Без категории
М
Мир-работы
Х
Хобби-и-рукоделие
И
Искусство-и-развлечения
В
Взаимоотношения
З
Здоровье
К
Кулинария-и-гостеприимство
Ф
Финансы-и-бизнес
П
Питомцы-и-животные
О
Образование
О
Образование-и-коммуникации

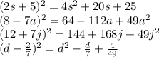
Преобразуйте в многочлен выражение: а)(2s+5)в квадрате б)(8 -7а)в квадрате в)(12+7j)в квадрате г)(d-2 седмых)в квадрате

👇
Ответ:
Matannoob
Matannoob
24.12.2022

(2s + 5)^2 = 4s^2 + 20s + 25\\ (8-7a)^2 = 64 - 112a + 49a^2\\ (12+7j)^2 = 144 + 168j + 49j^2\\ (d-\frac{2}{7})^2=d^2 - \frac{d}{7} + \frac{4}{49}

4,8(68 оценок)
Ответ:
minion19
minion19
24.12.2022
А)4s в квадрате+20s+25 б)64-112а+49а в квадрате в)144+168j+49j в квадрате г)d в квадрате-4/7d+4/49
4,6(83 оценок)
Открыть все ответы
Ответ:
№1
x+3412=7351
х=7351-3412
х=3939
Проверка:
3939+3412=7351
7351=7351

15*х=180
х=180:15
х=12
Проверка:
15*12=180
180=180

х-462=712
х=712+462
х=1174
Проверка: 
1174-462=712
712=712

х/73=53
х=53*73
х=3869
Проверка:
3869/73=53
53=53

№2
Пусть х белых гвоздик в вазе, тогда 3х красных. Всего 15 штук.
х+3х=15
4х=15
х=15:4
х=3 3/4 белых гвоздик в вазе
ответ: 3 3/4 белых гвоздик

Проверка:
3 3/4*3=15/4*3=45/4=11 1/4
11 1/4+3 3/4=14 4/4=15

№3
х*(617-598)=(781+78)*19
х*19=859*19
х=859*19:19
х=859
Проверка: 
859*(617-598)=(781+78)*19
859*19=859*19

№4
Рисуем квадрат со стороной 4см. Закрашиваем 1/4 часть - это будет квадратик со стороной 2см (вершина (угол) будет общая).
2*2=4 см² закрасили (это площадь 1/4 части первоначального квадрата)
4,4(45 оценок)
Ответ:
marehkolia2343Apple
marehkolia2343Apple
24.12.2022
Задача №1

1) 87,5 +9,85=97,35 (кг) - сахара продал магазин во второй день.
2) 97,35+87,5=184,85 (кг) - сахара продал магазин за два дня.
ответ: 184, 85 кг

Задача №2
1) 6,2+1,25=7,45 (метров ткани) - продали во второй день
2) 6,2+7,45+18,7=32,35 (метров ткани) - было первоначально.
ответ: 32,35 метров ткани.

Задача №3
1) скорость лодки по течению равна:
12,3+1,6=13,9 (км/час)
2) скорость лодки против течения реки равна:
12,3-1,6=10,7 (км/час)

Задача№4
1) скорость теплохода равна:
22,7+2,1=24,8 (км/час)
2) скорость теплохода по течению равна:
24,8+2,1=26,9 (км/час)
4,4(29 оценок)
Это интересно:
Новые ответы от MOGZ: Математика
logo
Вход Регистрация
Что ты хочешь узнать?
Спроси Mozg
Открыть лучший ответ