М
Молодежь
К
Компьютеры-и-электроника
Д
Дом-и-сад
С
Стиль-и-уход-за-собой
П
Праздники-и-традиции
Т
Транспорт
П
Путешествия
С
Семейная-жизнь
Ф
Философия-и-религия
Б
Без категории
М
Мир-работы
Х
Хобби-и-рукоделие
И
Искусство-и-развлечения
В
Взаимоотношения
З
Здоровье
К
Кулинария-и-гостеприимство
Ф
Финансы-и-бизнес
П
Питомцы-и-животные
О
Образование
О
Образование-и-коммуникации
alina28551
alina28551
05.08.2021 17:16 •  Математика

Хотелось бы понять, как решить это уравнение..

👇
Ответ:
millyby1
millyby1
05.08.2021
\cos{5x} - \sin{ ( 3x - \frac{ \pi }{2} ) } = \sqrt{2} \cos{ ( 4x + 3 \pi ) } \ ;

Преобразуем каждое слагаемое:

\sin{ ( 3x - \frac{ \pi }{2} ) } = - \sin{ ( \frac{ \pi }{2} - 3x ) } = - \cos{3x} \ ;

\cos{ ( 4x + 3 \pi ) } = \cos{ ( 4x + \pi ) } = - \cos{4x} \ ;

Перепишем всё уравнение в преобразованных слагаемых:

[***]     \cos{5x} + \cos{3x} = - \sqrt{2} \cos{4x} \ ;

Воспользуемся формулой: \cos{a} + \cos{b} = 2 \cos{ \frac{a+b}{2} } \cos{ \frac{a-b}{2} } \ ;

\cos{5x} + \cos{3x} = 2 \cos{ \frac{ 5x + 3x }{2} } \cos{ \frac{ 5x - 3x }{2} } = 2 \cos{4x} \cos{x} \ ;

Тогда уравнение [***] можно переписать так:

2 \cos{4x} \cos{x} = - \sqrt{2} \cos{4x} \ ;

\sqrt{2} \cos{4x} \cos{x} + \cos{4x} = 0 \ ;

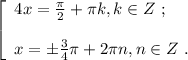
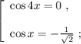
\cos{4x} ( \sqrt{2} \cos{x} + 1 ) = 0 \ ;

\left[\begin{array}{l} \cos{4x} = 0 \ , \\ \\ \cos{x} = -\frac{1}{ \sqrt{2} } \ ; \end{array}\right

\left[\begin{array}{l} 4x = \frac{ \pi }{2} + \pi k , k \in Z \ ; \\ \\ x = \pm \frac{3}{4} \pi + 2 \pi n , n \in Z \ . \end{array}\right

О т в е т :

\left[\begin{array}{l} x = \frac{ \pi }{8} + \frac{ \pi k }{4} , k \in Z \ ; \\ \\ x = \pm \frac{3}{4} \pi + 2 \pi n , n \in Z \ . \end{array}\right

.
4,5(34 оценок)
Открыть все ответы
Ответ:
avfvffg
avfvffg
05.08.2021

21 * 2/35 = 1,2 (км/ч) - скорость течения

21 - 1,2 = 19,8 (км/ч) - скорость катера против течения

19,8 * 6 = 118,8 (км) - путь за 6 часов против течения                                        

                                                                                                                                                                                          

                                                                                                                                                   

                                                                                                                                              

4,4(98 оценок)
Ответ:
namdokp09srw
namdokp09srw
05.08.2021

1. Утренняя гигиеническая гимнастика.
2. Воздушная ванна; водная процедура — обтирание, обливание,
душ.
3. Первый завтрак (без торопливости).
4. Утренняя прогулка или ходьба пешком на работу.
5. Паузы во время работы (после 2—3 часов работы необходимо делать 10—15-минутные перерывы).
6. Второй завтрак — на работе.
7. Дневная прогулка или ходьба пешком с работы.
8. Небольшой отдых перед обедом и после. Дневной сон 1—1 г/г часа после работы.
9. Вторая половина рабочего дня — в учреждении или умственная работа дома. 
10. Часы для отдыха в домашней обстановке: легкий физический труд или посещение кино, театра, лекции.
11. Легкий ужин (простокваша, фрукты и т. п.). 
12. Теплая ванна или прогулка на свежем воздухе перед сном.

Сон, не менее 7—8 часов.

4,4(1 оценок)
Это интересно:
Новые ответы от MOGZ: Математика
logo
Вход Регистрация
Что ты хочешь узнать?
Спроси Mozg
Открыть лучший ответ