Вход
Регистрация
Спроси Mozg AI
М
Молодежь
К
Компьютеры-и-электроника
Д
Дом-и-сад
С
Стиль-и-уход-за-собой
П
Праздники-и-традиции
Т
Транспорт
П
Путешествия
С
Семейная-жизнь
Ф
Философия-и-религия
Б
Без категории
М
Мир-работы
Х
Хобби-и-рукоделие
И
Искусство-и-развлечения
В
Взаимоотношения
З
Здоровье
К
Кулинария-и-гостеприимство
Ф
Финансы-и-бизнес
П
Питомцы-и-животные
О
Образование
О
Образование-и-коммуникации
.....больше.....
..меньше..
Emma190
26.01.2023 08:01 •
Математика
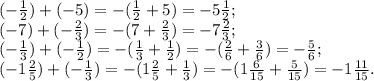
Найдите сумму : с объяснением (-1/2) + (-5); (-7) + (-2/3); (-1/3) + (-1/2); (-1 2/5) + (-1/3)
👇
Увидеть ответ
Ответ:
nikita030303b
26.01.2023
Чтобы сложить два числа с одинаковым знаком, надо сложить их модули, а перед знаком суммы поставить знак, который стоял перед слагаемыми.
4,4
(38 оценок)
Открыть все ответы
Ответ:
ника2761
26.01.2023
Уравнение касательной в точке (x0; y0)
f(x) = y0 + y ' (x0)*(x - x0)
x0 = 0,25 = 1/4. Найдем y0
y0 = y(x0) = 8*(1/4)^4 - 3*(1/4)^2 - 131*1/4 - 7 = 2^3/2^8 - 3/4^2 - 131/4 - 7 =
= 1/32 - 3/16 - 131/4 - 7 = (1 - 3*2 - 131*8 - 7*32)/32 = -1277/32
Найдем y ' (x0)
y ' = 32x^3 - 6x - 131; y ' (1/4) = 32/4^3 - 6/4 - 131 = 1/2 - 3/2 - 131 = -132
Уравнение
f(x) = -1277/32 - 132(x - 1/4) = -1277/32 - 132x + 132/4 = -132x - 221/32
Теперь находим точки пересечения
8x^4 - 3x^2 - 131x - 7 = -132x - 221/32
8x^4 - 3x^2 + x - 224/32 + 221/32 = 0
Приводим подобные и Умножаем все на 32
256x^4 - 96x^2 + 32x - 3 = 0
256x^4 - 64x^3 + 64x^3 - 16x^2 - 80x^2 + 20x + 12x - 3 = 0
(4x - 1)(64x^3 + 16x^2 - 20x + 3) = 0
(4x - 1)(64x^3 + 48x^2 - 32x^2 - 24x + 4x + 3) = 0
(4x - 1)(4x + 3)(16x^2 - 8x + 1) = 0
x1 = 1/4; y(1/4) = -1277/32
x2 = -3/4; y(-3/4) = -132*(-3/4) - 221/32 = 3168/32 - 221/32 = 2947/32
Квадратное уравнение в скобках корней не имеет.
ответ: У графика и его касательной 2 общие точки.
4,5
(58 оценок)
Ответ:
xenia00000
26.01.2023
Уравнение касательной в точке (x0; y0)
f(x) = y0 + y ' (x0)*(x - x0)
x0 = 0,25 = 1/4. Найдем y0
y0 = y(x0) = 8*(1/4)^4 - 3*(1/4)^2 - 131*1/4 - 7 = 2^3/2^8 - 3/4^2 - 131/4 - 7 =
= 1/32 - 3/16 - 131/4 - 7 = (1 - 3*2 - 131*8 - 7*32)/32 = -1277/32
Найдем y ' (x0)
y ' = 32x^3 - 6x - 131; y ' (1/4) = 32/4^3 - 6/4 - 131 = 1/2 - 3/2 - 131 = -132
Уравнение
f(x) = -1277/32 - 132(x - 1/4) = -1277/32 - 132x + 132/4 = -132x - 221/32
Теперь находим точки пересечения
8x^4 - 3x^2 - 131x - 7 = -132x - 221/32
8x^4 - 3x^2 + x - 224/32 + 221/32 = 0
Приводим подобные и Умножаем все на 32
256x^4 - 96x^2 + 32x - 3 = 0
256x^4 - 64x^3 + 64x^3 - 16x^2 - 80x^2 + 20x + 12x - 3 = 0
(4x - 1)(64x^3 + 16x^2 - 20x + 3) = 0
(4x - 1)(64x^3 + 48x^2 - 32x^2 - 24x + 4x + 3) = 0
(4x - 1)(4x + 3)(16x^2 - 8x + 1) = 0
x1 = 1/4; y(1/4) = -1277/32
x2 = -3/4; y(-3/4) = -132*(-3/4) - 221/32 = 3168/32 - 221/32 = 2947/32
Квадратное уравнение в скобках корней не имеет.
ответ: У графика и его касательной 2 общие точки.
4,4
(90 оценок)
Это интересно:
К
Кулинария-и-гостеприимство
04.02.2023
Как приготовить фасоль пинто: пошаговый рецепт и полезные советы...
О
Образование-и-коммуникации
17.11.2022
Как стать самым уверенным учеником в школе?...
В
Взаимоотношения
05.02.2021
Как найти себе девушку в интернете: советы от экспертов...
З
Здоровье
01.02.2021
Как стать стройным естественным путем: советы от эксперта...
К
Компьютеры-и-электроника
10.03.2023
Как сделать снимок в Windows Live Movie Maker: подробное руководство...
К
Компьютеры-и-электроника
28.05.2023
Как создать ISO файл в Linux: шаг за шагом руководство...
08.02.2021
Как найти счастье и любить себя, когда жизнь кажется трудной и неподатливой?...
О
Образование-и-коммуникации
11.07.2021
Как помочь спасти окружающую среду...
З
Здоровье
01.10.2022
Как определить доминирующий глаз...
Ф
Финансы-и-бизнес
21.11.2020
Открытие бизнеса торговли спорттоварами: полное руководство...
Новые ответы от MOGZ: Математика
wokef1
17.01.2023
Площадь прямоугольника равна 36 см² его длина 9 см чему равна ширина данного прямоугольника...
sydykovadiana
17.01.2023
Найди значение выражения: (6/11:3)×7, 13/15×14-13/15×7...
ккк127
17.01.2023
Какой знак надо поставить между величинами: 1/2 от 1 дм и 1/5 от 10 см, - чтобы неравенство было истинным?...
krylovadashenk
03.01.2022
Варіант 1 1. ( 0, ) С вираз sin 4α cos α - cos 4α sin α. а) sin 3α б) cos 3α в) sin 5α г) sin 4α д) cos 5α 2. ( 0, ) Вибрати вірне твердження. а) Через пряму і точку можна провести...
лолвсемогущий
03.01.2022
Найди значение выражения: (6/11:3)×7, 13/15×14-13/15×7...
ФлэшДевушка
03.01.2022
У 8 ящиках 48 кг апельсинів,а в 5 таких самих ящиках- 35 кг лимонів .Чого більше в одному ящику-апельсинів або лимонів- і на скільки кілограмів більше?...
nightmarelucy
14.05.2020
решить нужно решить нужно >...
9000Кира0009
14.05.2020
Знайдіть координати точок,зображених на малюнку...
Даниил555777
14.05.2020
Диагонали ромба 10,6 см и 6,5 см. Найти его площадь...
azhiltsova15ozb142
09.07.2021
БЫСТРЕЙ ВРЕМЕНИ ПОЧТИ НЕ ОСТАЛОСЬ...
MOGZ ответил
Из двух простых сделайте одно сложное предложение. вставьте подходящий союз. мы...
Верно ли утверждение, что мировоззрение может иметь не только отдельная лич-ность,...
Вооружение, голос,договор,ремонт, посвящение, восторг,восхищение, дирижер,критика,обида,оборона,,...
Учистому небі з явилась різнокольорова веселка,...
Как читается и произносится на what s your name?...
Расскажите о связи расстений и животных в природных условиях...
Вкомнате у дедушки в полдень бьют часы .продолжительность боя состовляет один процент...
Попробуй объяснить как произошло слово холодильник, пылесос, мясорубка...
Translate the word combinations.use them in your own sentences....
Чому вольтметр треба підключати паралельно в коло електричного струму?...
Полный доступ к MOGZ
Живи умнее Безлимитный доступ к MOGZ
Оформи подписку
О НАС
О нас
Блог
Условия пользования
Авторское право
Политика конфиденциальности
Предпочтения cookie-файлов
ПОМОЩЬ
Зарегистрируйся
Центр помощи
Центр безопасности
App
Вход
Регистрация
Что ты хочешь узнать?
Спроси Mozg
Открыть лучший ответ
×