М
Молодежь
К
Компьютеры-и-электроника
Д
Дом-и-сад
С
Стиль-и-уход-за-собой
П
Праздники-и-традиции
Т
Транспорт
П
Путешествия
С
Семейная-жизнь
Ф
Философия-и-религия
Б
Без категории
М
Мир-работы
Х
Хобби-и-рукоделие
И
Искусство-и-развлечения
В
Взаимоотношения
З
Здоровье
К
Кулинария-и-гостеприимство
Ф
Финансы-и-бизнес
П
Питомцы-и-животные
О
Образование
О
Образование-и-коммуникации
1010ВАДИМ
1010ВАДИМ
31.01.2020 23:57 •  Математика

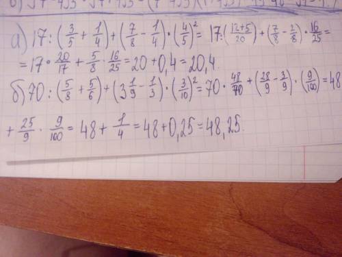
А)17: (3/5+1/4)+(7/8-1/4)*(4/5) 2 во второй степени б) 70: (5/8+5/6)+(3 1/9-1/3)*(3/10) 2 во второй степени

👇
Ответ:
Вроде так решается......
А)17: (3/5+1/4)+(7/8-1/4)*(4/5) 2 во второй степени б) 70: (5/8+5/6)+(3 1/9-1/3)*(3/10) 2 во второй
4,4(97 оценок)
Открыть все ответы
Ответ:
ddurua
ddurua
31.01.2020
Площадь - это половина основания треугольника, умноженная на высоту.
Треугольник равнобедренный, так что высота, проведенная к основанию, также будет являться биссектрисой и медианой.
Обозначим половину основания за x, а высоту за h.
Тогда 4 = x*h. 
Теперь рассмотрим прямоугольный треугольник, с прямым углом, образованным высотой. Теперь по теореме Пифагора 17 = x^2 + h^2.
17 = x^2 + 16 / x^2
x^4 - 17x^2 + 16 = 0
решаем квадратное уравнение
x^2 = 1, x^2 = 16
не учитывая отрицательные значения:
x=1, x=4 - половина основания.
то есть основание равно либо 2, либо 8.
4,7(86 оценок)
Ответ:
Filonov1812
Filonov1812
31.01.2020
Площадь - это половина основания треугольника, умноженная на высоту.
Треугольник равнобедренный, так что высота, проведенная к основанию, также будет являться биссектрисой и медианой.
Обозначим половину основания за x, а высоту за h.
Тогда 4 = x*h. 
Теперь рассмотрим прямоугольный треугольник, с прямым углом, образованным высотой. Теперь по теореме Пифагора 17 = x^2 + h^2.
17 = x^2 + 16 / x^2
x^4 - 17x^2 + 16 = 0
решаем квадратное уравнение
x^2 = 1, x^2 = 16
не учитывая отрицательные значения:
x=1, x=4 - половина основания.
то есть основание равно либо 2, либо 8.
4,6(78 оценок)
Это интересно:
Новые ответы от MOGZ: Математика
logo
Вход Регистрация
Что ты хочешь узнать?
Спроси Mozg
Открыть лучший ответ