М
Молодежь
К
Компьютеры-и-электроника
Д
Дом-и-сад
С
Стиль-и-уход-за-собой
П
Праздники-и-традиции
Т
Транспорт
П
Путешествия
С
Семейная-жизнь
Ф
Философия-и-религия
Б
Без категории
М
Мир-работы
Х
Хобби-и-рукоделие
И
Искусство-и-развлечения
В
Взаимоотношения
З
Здоровье
К
Кулинария-и-гостеприимство
Ф
Финансы-и-бизнес
П
Питомцы-и-животные
О
Образование
О
Образование-и-коммуникации
simakanna
simakanna
03.12.2020 13:43 •  Математика

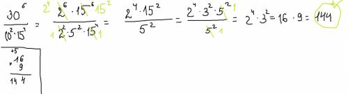
30 в степени 6 / 10 в степени 2 * 15 в степени 4

👇
Ответ:
мася277
мася277
03.12.2020
Решение во вложении:
ответ:144
Удачи!
30 в степени 6 / 10 в степени 2 * 15 в степени 4
4,6(88 оценок)
Открыть все ответы
Ответ:
DenneD432
DenneD432
03.12.2020
"Авось", да "может", у попа четыре стога сена съели - "Пöыд" да "гашкöыд" поплысь пö нёль зорöд сёйöмаöсь
Али отрубил петуху голову, руки дрожат? - Петук юр кералiн али мый, киыд дрöжжитö?
Баба и пули не видает, а войну знает - Бабаыд пулятö оз аддзыв да войнатö тöдö
Балуйся, но ума не теряй - Ышмы, да садьтö тöд
Баня для больного все равно что бальзам - Пывсяныд висигад бальзам моз лöсялö
Без крыльев не полетишь - Бордтöг этша лэбалан
Без работы ничего не добыть - Уджтöгыд нинöм оз шед
Без работы ничто не по вкусу, любая пища не лезет в рот - Уджавтöгыд нинöм оз чöсты, быдтор вомсьыд усьö
Без работы скоро протянешь ноги - Он кö уджав, регыд на-й кыстö нюжöдан
Без труда и щепки не перевернешь - Уджтöгыд и чаг он бергöд
Белка сама в лузан не полезет - Урыд лазъяд ачыс оз пыр
Белый свет велик - Шондi югыдыс öд паськыд
Белый свет не клином сошелся - Енма-муа коласыс топ эз усь
Бестолкового человека добрые люди образумят - Сюрöстöм мортöс бур йöз уеьпаньвыв пуксьöдасны
Близорукими глазами на тот берег не засматривайся - Тамыш синмöн ю мöдарö эн гонняв
Боек, как быстрая река - Визув ва кодь смел
Боится даже скрипа дерева - Пу дзуртöмысь весиг полö
Бойкой лошади - овес, ленивой - погонялка - 3iль вöвлы зöр, дыш вöвлы - ньöр
Болезнь входит пудами, выходит золотниками - Висьöм пырö пудйöн, петö зöлöтникöн
Болезнь не брат дорогой - Висьöмыд лёк, абу бур вок
Болезнь не красит, всякого согнет - Висьöмыд тай оз красит, быдöнöс нюкыртас
Болезнь не спрашивает о твоем досуге - Висьöмыд тай кадтö оз юась
Болезнь старит человека - Висьöм мортöс пöрысьмöдö
Болеть своей болезнью, заботиться о себе - Ас висьöмöн висьны
Болеть чужой болезнью - Йöз висьöмöн висьны
Болтливого человека и при удил не обуздать - Калькöс вома морттö и кöртвомöн он кöртвомав
Больному не до заработков - Висьман кö, нажöвитчöмыд гыжъя-вежъя
Большая голова, да мало в ней ума - Ыджыд юрыд, да ичöт мывкыдыд
Большой себя представляешь рыбой - Ыджыд тай, кылан, чери!
Боязливый все равно, что заяц, своей тени боится - Полысьыд пö кöч кодь, ас вуджöрсьыс полö
Будь сердце железным, его бы ржа изъела, а человеческое все стерпит - Кöрт кö, сiм орöдiс, а яй сьöлöмлы нинöм оз ло бурджыка и уджавсьö
Бывалый человек из-под камня достанет - Ветлöм-мунöм мортыд из улысь аддзас
Бывалый человек ни перед чем не растеряется - Ветлöм-мунöм морт некытчö оз йöрмы
Была бы ручка - землю перевернул, была бы лестница- на небо вскарабкался - Муас вуг кö эм - мусö бергöдö, пос кö эм - небесаас чапасяс
Была бы шея, а хомут найдется - Юрыд кö эм, петляыд сюрö
Была бы шея, хомут всегда найдется - Голяыд кö эм, сийöсыд век сюрас
Были бы кости, а мясо нарастет - Лыыд да кучикыд кö эм, яйыс быдмас
Были бы руки, а работа найдется - Вöлiны мед кияс, а уджыд, майбыр, сюрас
Было бы из железа - заржавело, было бы из камня - полопалось, было бы из мяса - сгнило, сердце мое - из стали - Кöрт кö вöлi - сiмис, из кö вöлi - потiс, яй кö вöлi - сiсьмис, сьöлöмыс менам - стальысь
Незн правильно или нет нашла только это
4,6(98 оценок)
Ответ:
ladykaden
ladykaden
03.12.2020
"Авось", да "может", у попа четыре стога сена съели - "Пöыд" да "гашкöыд" поплысь пö нёль зорöд сёйöмаöсь
Али отрубил петуху голову, руки дрожат? - Петук юр кералiн али мый, киыд дрöжжитö?
Баба и пули не видает, а войну знает - Бабаыд пулятö оз аддзыв да войнатö тöдö
Балуйся, но ума не теряй - Ышмы, да садьтö тöд
Баня для больного все равно что бальзам - Пывсяныд висигад бальзам моз лöсялö
Без крыльев не полетишь - Бордтöг этша лэбалан
Без работы ничего не добыть - Уджтöгыд нинöм оз шед
Без работы ничто не по вкусу, любая пища не лезет в рот - Уджавтöгыд нинöм оз чöсты, быдтор вомсьыд усьö
Без работы скоро протянешь ноги - Он кö уджав, регыд на-й кыстö нюжöдан
Без труда и щепки не перевернешь - Уджтöгыд и чаг он бергöд
Белка сама в лузан не полезет - Урыд лазъяд ачыс оз пыр
Белый свет велик - Шондi югыдыс öд паськыд
Белый свет не клином сошелся - Енма-муа коласыс топ эз усь
Бестолкового человека добрые люди образумят - Сюрöстöм мортöс бур йöз уеьпаньвыв пуксьöдасны
Близорукими глазами на тот берег не засматривайся - Тамыш синмöн ю мöдарö эн гонняв
Боек, как быстрая река - Визув ва кодь смел
Боится даже скрипа дерева - Пу дзуртöмысь весиг полö
Бойкой лошади - овес, ленивой - погонялка - 3iль вöвлы зöр, дыш вöвлы - ньöр
Болезнь входит пудами, выходит золотниками - Висьöм пырö пудйöн, петö зöлöтникöн
Болезнь не брат дорогой - Висьöмыд лёк, абу бур вок
Болезнь не красит, всякого согнет - Висьöмыд тай оз красит, быдöнöс нюкыртас
Болезнь не спрашивает о твоем досуге - Висьöмыд тай кадтö оз юась
Болезнь старит человека - Висьöм мортöс пöрысьмöдö
Болеть своей болезнью, заботиться о себе - Ас висьöмöн висьны
Болеть чужой болезнью - Йöз висьöмöн висьны
Болтливого человека и при удил не обуздать - Калькöс вома морттö и кöртвомöн он кöртвомав
Больному не до заработков - Висьман кö, нажöвитчöмыд гыжъя-вежъя
Большая голова, да мало в ней ума - Ыджыд юрыд, да ичöт мывкыдыд
Большой себя представляешь рыбой - Ыджыд тай, кылан, чери!
Боязливый все равно, что заяц, своей тени боится - Полысьыд пö кöч кодь, ас вуджöрсьыс полö
Будь сердце железным, его бы ржа изъела, а человеческое все стерпит - Кöрт кö, сiм орöдiс, а яй сьöлöмлы нинöм оз ло бурджыка и уджавсьö
Бывалый человек из-под камня достанет - Ветлöм-мунöм мортыд из улысь аддзас
Бывалый человек ни перед чем не растеряется - Ветлöм-мунöм морт некытчö оз йöрмы
Была бы ручка - землю перевернул, была бы лестница- на небо вскарабкался - Муас вуг кö эм - мусö бергöдö, пос кö эм - небесаас чапасяс
Была бы шея, а хомут найдется - Юрыд кö эм, петляыд сюрö
Была бы шея, хомут всегда найдется - Голяыд кö эм, сийöсыд век сюрас
Были бы кости, а мясо нарастет - Лыыд да кучикыд кö эм, яйыс быдмас
Были бы руки, а работа найдется - Вöлiны мед кияс, а уджыд, майбыр, сюрас
Было бы из железа - заржавело, было бы из камня - полопалось, было бы из мяса - сгнило, сердце мое - из стали - Кöрт кö вöлi - сiмис, из кö вöлi - потiс, яй кö вöлi - сiсьмис, сьöлöмыс менам - стальысь
Незн правильно или нет нашла только это
4,4(40 оценок)
Новые ответы от MOGZ: Математика
logo
Вход Регистрация
Что ты хочешь узнать?
Спроси Mozg
Открыть лучший ответ