М
Молодежь
К
Компьютеры-и-электроника
Д
Дом-и-сад
С
Стиль-и-уход-за-собой
П
Праздники-и-традиции
Т
Транспорт
П
Путешествия
С
Семейная-жизнь
Ф
Философия-и-религия
Б
Без категории
М
Мир-работы
Х
Хобби-и-рукоделие
И
Искусство-и-развлечения
В
Взаимоотношения
З
Здоровье
К
Кулинария-и-гостеприимство
Ф
Финансы-и-бизнес
П
Питомцы-и-животные
О
Образование
О
Образование-и-коммуникации
qqwqe
qqwqe
15.10.2020 04:15 •  Математика

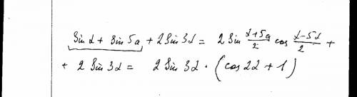
Представить в виде выражения sina+sin5a+2sin3a

👇
Ответ:
Shrhfhd
Shrhfhd
15.10.2020
Преобразуем сумму двух первых слагаемых в произведение.
Представить в виде выражения sina+sin5a+2sin3a
4,7(76 оценок)
Открыть все ответы
Ответ:
hadaevbogdan
hadaevbogdan
15.10.2020

Первым оскароносным советским фильмом стал "Война и мир" Сергея Бондарчука . В 1968 году он победил в номинации "Лучший фильм на иностранном языке".

Вторым,в 1975году, был фильм "Дерсу Узала" Но это советско-японский проект(режиссер Акира Куросава)

В 1981 году, премия "Оскар в номинации лучший зарубежный фильм" был присуждена комедии Владимира Меньшова ( сценарий - Валентина Черных) "Москва слезам не верит". Интересно то, что сам режиссер узнал об этом из выпуска программы "Время". А так как это был выпуск от 1-го апреля, он счел это за розыгрыш.


4,6(36 оценок)
Ответ:
Sodomovap
Sodomovap
15.10.2020
И «все найденное» сохраняется в неприкосновенности в течение всех двадцати восьми лет (только — увы! — не принося сложных процентов) и затем при возвращении в Англию оказывается очень кстати.Всё, что вы ищете, Монтэг, существует в мире, но простой человек разве только одну сотую может увидеть своими глазами, а остальные девяносто девятьпроцентов он познаёт через книгу.Не ручаюсь, точно ли помню, но примерно так – шестьдесят процентов доносов, сорок процентов униженных что тогда жаловали холуям, – землю, дачу, рабов, не знаю уж что.Знавал я одного юношу. Это был честнейший паренек: пристрастившись к рыбной ловле, он взял себе за правило никогда не преувеличивать свой улов больше чем на двадцать пять процентов.Я также осведомлен, что одна тысяча фунтов из четырех процентов годовых, и то переходящая к вам только после кончины миссис Беннет, — все, чем вы можете располагать в будущем.Котел, правда, давал не больше двадцати процентов нормальной мощности, и была порядком потрепана ходовая часть, но Максим был доволен – вчера он не надеялся и на это.Он говорил о том, какова будет деятельность «Четвертака»: столько-то и столько-то обедов, такая-то пропускная такой-то процентпитательности и – какие выгоды от коммунального питания.Действительно, самый большой его улов выражался цифрой три, а добавить к трем двадцать пять процентов нет никакой возможности, во всяком случае когда дело касается рыбы.— В будущий понедельник мне вернут крупную сумму денег, и я погашу вашу ссуду с уплатой любого процента. Но мне крайне важно получить деньги сразу.Итоговые сводки о производстве всех видов потребительских товаров показывают, что по сравнению с годом уровень жизни поднялся не менее чем на двадцать процентов.Тем не менее я сделаю все возможное, чтобы линия Джона Галта приносила мне прибыль в двадцать процентов, если, конечно, это в моих силах.
4,6(93 оценок)
Это интересно:
Новые ответы от MOGZ: Математика
logo
Вход Регистрация
Что ты хочешь узнать?
Спроси Mozg
Открыть лучший ответ