Вход
Регистрация
Спроси Mozg AI
М
Молодежь
К
Компьютеры-и-электроника
Д
Дом-и-сад
С
Стиль-и-уход-за-собой
П
Праздники-и-традиции
Т
Транспорт
П
Путешествия
С
Семейная-жизнь
Ф
Философия-и-религия
Б
Без категории
М
Мир-работы
Х
Хобби-и-рукоделие
И
Искусство-и-развлечения
В
Взаимоотношения
З
Здоровье
К
Кулинария-и-гостеприимство
Ф
Финансы-и-бизнес
П
Питомцы-и-животные
О
Образование
О
Образование-и-коммуникации
.....больше.....
..меньше..
Юлдуз1122
30.12.2021 16:16 •
Математика
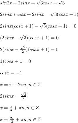
А) решите уравнение sin2x+2sinx=3√cosx+3√. б) укажите корни этого уравнения, принадлежащие отрезку [− 3π ; −3π2].
👇
Увидеть ответ
Ответ:
reyuatnrf
30.12.2021
A)
b)
Корни принадлежащие отрезку [-3π; -3π/2]
-3π, -π, -5π/3, -4π/3
4,4
(74 оценок)
Открыть все ответы
Ответ:
gore489
30.12.2021
1. находим значение выражения.
41/12-(20/9-1/6)20/9 - 1/6 приводим к общему знаменателю 18, умножая 20*2, 1*4
(20-4)/18= 16/18=8/9
41/12 - 8/9 приводим к общему знаменателю 36, умножаем 41*3,8*4
(123-32)/36 = 91/30= 3 целых 1/30
2. Составляем пропорцию.
(3 целых 1/30)/21 = х/100
Решаем пропорцию правилом креста.
3 целых 1/3 умножить 100 = 21*х
91/30 * 100/1 = 21х
910/30 = 21х
910/30 : 21/1 = х
910/63 = х
От этого числа нужно найти 54%.
910/63 : 100 * 54 = 910/63 * 1/100 * 54/1 = (сокращаем на 10) 91/63 *1/10 * 54/1 = 91*1*54/63*1*10 = 4914/630 (сокращаем на 9) = 546/70 = 7 целых 56/70 = 7 целых 28/35
54% это 7 целых 28/35
4,4
(61 оценок)
Ответ:
Виктория41116
30.12.2021
1. находим значение выражения.
41/12-(20/9-1/6)20/9 - 1/6 приводим к общему знаменателю 18, умножая 20*2, 1*4
(20-4)/18= 16/18=8/9
41/12 - 8/9 приводим к общему знаменателю 36, умножаем 41*3,8*4
(123-32)/36 = 91/30= 3 целых 1/30
2. Составляем пропорцию.
(3 целых 1/30)/21 = х/100
Решаем пропорцию правилом креста.
3 целых 1/3 умножить 100 = 21*х
91/30 * 100/1 = 21х
910/30 = 21х
910/30 : 21/1 = х
910/63 = х
От этого числа нужно найти 54%.
910/63 : 100 * 54 = 910/63 * 1/100 * 54/1 = (сокращаем на 10) 91/63 *1/10 * 54/1 = 91*1*54/63*1*10 = 4914/630 (сокращаем на 9) = 546/70 = 7 целых 56/70 = 7 целых 28/35
54% это 7 целых 28/35
4,7
(67 оценок)
Это интересно:
К
Компьютеры-и-электроника
25.12.2021
Как правильно отправлять SQL запросы в Mysql из командной строки...
К
Компьютеры-и-электроника
08.07.2020
Как скачать фильм с YouTube через YouTube Downloader...
12.09.2022
Искусство покорения сердец: как влюбить в себя парня...
К
Компьютеры-и-электроника
23.09.2020
5 шагов, чтобы легко добавить названия к графикам в Excel...
С
Стиль-и-уход-за-собой
11.12.2022
Как ухаживать за кожей после шугаринга...
И
Искусство-и-развлечения
30.05.2021
Как стать пресс-агентом: советы от профессионалов...
О
Образование-и-коммуникации
10.02.2023
Как выспаться и учиться всю ночь...
К
Компьютеры-и-электроника
19.02.2022
Как отправить личное сообщение в Instagram...
П
Питомцы-и-животные
09.08.2021
Как приготовить угощения для лошади: рецепты и советы...
К
Компьютеры-и-электроника
01.08.2022
Как сохранить фото на Macbook: простые способы...
Новые ответы от MOGZ: Математика
Abdulla2009
17.07.2020
Добрые люди все что бы было понятно буду сильно радо если номер 9 ! ...
fhdhjdh
27.12.2022
150 процентов от числа 14, 250 от числа 16...
км2002
27.12.2022
На суббртник вышли 60 человек.в ремонте дороги участвовали 25% всех людей а остальные сажали деревья.сколько человек сажали деревья?...
adebora
27.12.2022
64+16+8+12= 52-(30+12)= 100-(25+25)= как решать вычислить рационально...
MilkaKamilka5
05.02.2020
Скільки площин можна провести через одну пряму?...
valeria204567
27.12.2022
Поезд длиною 520 м минуту и 20 секунд через мост длиной 800 м. поезд через несколько часов проехал той же скорости через туннель за 1,5 минут. какова длина туннеля?...
DANIKom
27.12.2022
10ц 08кг-4ц 12кг=? 12км 750м +4км 075м=? 47 650-857-6 599=? 5 538-(14+778)=?...
Маруся200117
27.12.2022
Вычислите: б) 27× (2/3) во второй степени × 1 целую 7/8...
Скрррррооо
19.07.2021
Объясните как было получено выражение : 3(sin^2+cos^2x)...
vlad1417
30.03.2020
Переведи на обычный язык: а) 3(x+y) б) (x-y)*10 в) 30: x г) y: 12 д) 2x+3y...
MOGZ ответил
ответьте : what places do you think we should see first? what museums...
Синтаксический разбор: над светлым озером пурпуровой зари вечерный...
Переведите на : думаю, чего такой день-то хороший, а я же на успокоительных....
Во что ре мажоре разришается д7 д65 д34 и д2...
Причины гибели древней греции? 10 класс...
Подчеркните члены предложения в: чёрной лесной петух топчется на...
Какие особенности развития подростков?...
Нужно сочинить стихотворение ко дню учителя...
Государство в котором власть не обязаны соблюдать нормы права называется:...
Рябята ! завтра конт.работа.а я не понимаю аак находить ? мне нужно...
Полный доступ к MOGZ
Живи умнее Безлимитный доступ к MOGZ
Оформи подписку
О НАС
О нас
Блог
Условия пользования
Авторское право
Политика конфиденциальности
Предпочтения cookie-файлов
ПОМОЩЬ
Зарегистрируйся
Центр помощи
Центр безопасности
App
Вход
Регистрация
Что ты хочешь узнать?
Спроси Mozg
Открыть лучший ответ
b)
Корни принадлежащие отрезку [-3π; -3π/2]
-3π, -π, -5π/3, -4π/3