М
Молодежь
К
Компьютеры-и-электроника
Д
Дом-и-сад
С
Стиль-и-уход-за-собой
П
Праздники-и-традиции
Т
Транспорт
П
Путешествия
С
Семейная-жизнь
Ф
Философия-и-религия
Б
Без категории
М
Мир-работы
Х
Хобби-и-рукоделие
И
Искусство-и-развлечения
В
Взаимоотношения
З
Здоровье
К
Кулинария-и-гостеприимство
Ф
Финансы-и-бизнес
П
Питомцы-и-животные
О
Образование
О
Образование-и-коммуникации
MrGleb3000
MrGleb3000
26.01.2020 11:27 •  Математика

Решите уравнение: под корнем 5^х=125

👇
Ответ:
Love1011
Love1011
26.01.2020
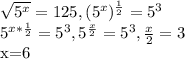
\sqrt{ 5^{x} } =125, ( 5^{x} ) ^{ \frac{1}{2} } = 5^{3} 



 5^{x* \frac{1}{2} } = 5^{3} , 5^{ \frac{x}{2} } = 5^{3} , \frac{x}{2} =3


x=6
4,5(87 оценок)
Открыть все ответы
Ответ:
123maladauskas
123maladauskas
26.01.2020

1) первой цифрой не может быть 0. Остальные цифры — любые из трёх. ответ:2*3*3*3*3 = 162

2) надо решить систему уравнений:

{ 4a + 6b = 46, a + b = 9 }

a и b — кол-во четырёх- и шестиместных лодок соответственно.

Найти b.

b = 9 - a.

4a + 6(9 - a) = 46

a = 4

b = 5.

ответ: 5 шестиместных лодок.

3) ответом служит A(4, 3) (количество размещений из 4 по 3) = 4!/(4 - 3)! = 24.

4) ответ: C(5, 3) + C(6, 3) + C(7, 3) = 10 + 20 + 35 = 65, где C(n, k) — количество сочетаний из n по k = n! / (k! * (n - k)!)

5) Бесконечное количество. Все они имеют вид:

x = 7n, y = 5n, где n — любое целое число.

6) Пусть x — наше число, y — частное.

{ x = 15 * y, x = 13 * y + 12 }

15y = 13y + 12

y = 6

x = 15 * 6 = 90.

ответ: 90.

7) 8x + 9 = 11 + 4y

y = 2x - 1/2. Как видно из уравнения, решений в целых числах не существуют.

4,7(52 оценок)
Ответ:
Снежана21111
Снежана21111
26.01.2020

Пусть все телевизоры 1 (единица), тогда:

1-(1/7)=6/7 всех телевизоров осталось после первого дня.

(6/7)*(1/2)=3/7 всех телевизоров продали во второй день.

(6/7)-(3/7)=3/7 всех телевизоров осталось после второго дня торговли.

(3/7)*(1/5)=3/35 всех телевизоров продали в третий день.

(3/7)-(3/35)=12/35 всех телевизоров осталось после третьего дня торговли.

(12/35)*(1/3)=4/35 всех телевизоров продали в четвертый день.

(12/35)-(4/35)=8/35 всех телевизоров осталось к пятому дню, это 16 шт.

16÷(8/35)=70 телевизоров привезли в магазин.

70*(1/7)=10 телевизоров продали в первый день.

70*(3/7)=30 телевизоров продали во второй день.

70*(3/35)=6 телевизоров продали в третий день.

70*(4/35)=8 телевизоров продали в четвертый день.

ответ: 10 в первый; 30 во второй; 6 в третий; 8 в четвертый.

4,8(66 оценок)
Это интересно:
Новые ответы от MOGZ: Математика
logo
Вход Регистрация
Что ты хочешь узнать?
Спроси Mozg
Открыть лучший ответ