М
Молодежь
К
Компьютеры-и-электроника
Д
Дом-и-сад
С
Стиль-и-уход-за-собой
П
Праздники-и-традиции
Т
Транспорт
П
Путешествия
С
Семейная-жизнь
Ф
Философия-и-религия
Б
Без категории
М
Мир-работы
Х
Хобби-и-рукоделие
И
Искусство-и-развлечения
В
Взаимоотношения
З
Здоровье
К
Кулинария-и-гостеприимство
Ф
Финансы-и-бизнес
П
Питомцы-и-животные
О
Образование
О
Образование-и-коммуникации
nastya12109
nastya12109
18.05.2020 15:01 •  Математика

Решите уравнение ! x+15-10-30+8=20

👇
Ответ:
igor99kz
igor99kz
18.05.2020
Это решается вот так
4,6(87 оценок)
Ответ:
Алая5кровь
Алая5кровь
18.05.2020
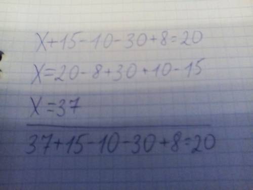
x+15-10-30+8=20
x=20-15+10+30-8
x=37
Решите уравнение ! x+15-10-30+8=20
4,4(88 оценок)
Открыть все ответы
Ответ:
nazydraganil
nazydraganil
18.05.2020
1)6*5=30(кг) - печенья всего.                             (всего можно
2)3*5=15(кг) - вафель всего.                                                     не повторять 
3)30+15=45(кг) сладостей купили                                                                      а в 6
 ответ:45 кг купили.                                                                                       коробках)
Ну не знаю так наверно 1) 5+3=8(кг)-вафель и печенья в 1 коробке
2)8*6=48(кг) всего купили
ответ: 48 кг купили
Мой ответ не мотериален может он с ошибками ))
4,8(3 оценок)
Ответ:
ПАРРА
ПАРРА
18.05.2020
1) Длина стороны ВС равна √((Xc-Xb)²+(Yc-Yb)²) = √((17-1)²+(2-0)²) =
    = √(16²+2²) = √(256+4) = √260 = 2√65 = 16.1245.
   Аналогично находим  длину стороны АВ = 5, и АС = 13.
2) Площадь S = (1/2)*|(Xb-Xc)*(Yc-Ya)-(Xc-Xa)*(Yb-Ya)| =
    = (1/2)*|(1-5)*(2-(-3))-(17-5)*(0-(-3))| = (1/2)*|-4*5-12*3| =(1/2)|-56| = 28.
3) Уравнение стороны ВС: 
    (X-Xb)/(Xc-Xb) = (Y-Yb)/(Yc-Yb)
   (X-1)/(17-1) = (Y-0)/(2-0)
    (X-1)/16 = Y/2
     X-8Y-1=0    или с коэффициентом: У = (1/8)X - (1/8).
4) Уравнение высоты из вершины А:
     (Х-Xa)/(Yc-Yb) = (Y-Ya)/(Xb-Xc)
     (X-5)/(2-0) = (Y-(-3))/(1-17)
     (X-5)/2 = (Y+3)/-16
      8X+Y-37=0     или Y = -8X+37.
    Аналогично находим уравнения высоты из вершины В:
   12Х+5У-12=0,
    и из вершины С:
    4Х-3У-62=0.
5) Высота из вершина А равна Ha = 2S/BC = 2*28 / 2√65 = 3,473.
    Из вершины В: Нв = 2*28 / 13 = 4,308.
    Из вершины С: Нс = 2*28 / 5 = 11,2.
6) Косинус угла В: cosB = (AB²+BC²-AC²) / (2*AB*BC) =
     = (5²+(2√65)²-13²) / (2*5*2√65) = 116/20√65 = 0.7194
Угол В = 0.76786 радиан = 43.9949 градус
4,5(28 оценок)
Это интересно:
Новые ответы от MOGZ: Математика
logo
Вход Регистрация
Что ты хочешь узнать?
Спроси Mozg
Открыть лучший ответ