М
Молодежь
К
Компьютеры-и-электроника
Д
Дом-и-сад
С
Стиль-и-уход-за-собой
П
Праздники-и-традиции
Т
Транспорт
П
Путешествия
С
Семейная-жизнь
Ф
Философия-и-религия
Б
Без категории
М
Мир-работы
Х
Хобби-и-рукоделие
И
Искусство-и-развлечения
В
Взаимоотношения
З
Здоровье
К
Кулинария-и-гостеприимство
Ф
Финансы-и-бизнес
П
Питомцы-и-животные
О
Образование
О
Образование-и-коммуникации
rootiopa2
rootiopa2
17.04.2022 08:41 •  Математика

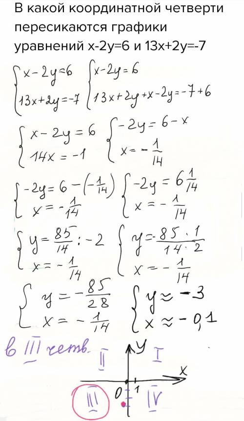
Вкакой координатной четверти пересикаются графики уравнений x-2y=6 и 13x+2y=-7 ​

👇
Ответ:
givka1
givka1
17.04.2022

ответ: графики пересекаются в 3 четверти.


Вкакой координатной четверти пересикаются графики уравнений x-2y=6 и 13x+2y=-7 ​
4,5(22 оценок)
Открыть все ответы
Ответ:
bratatatnigep014kz
bratatatnigep014kz
17.04.2022
(4+2х)(12-3х)>0
по правилам умножения можем записать так
4+2х>0    и           12-3х>0
2x>-4                     12>3x
x>-2                       4>x
x>-2                       x<4
х є (-2; беск)         х є (4; - беск)
Решением данного неравенства будет являться пересечение   двух найденных промежутков, то есть  получим что х є (-2;4) 
ОБЯЗАТЕЛЬНО необходимо на ось Ох нанести точку -2 и 4 и штриховкой от -2 до + бесконечности показать решения первого неравенства .а потом штриховкой от 4 до - бесконечности показать решения второго неравенства. 
Отввет: (-2;4)
4,6(71 оценок)
Ответ:
marina8marta
marina8marta
17.04.2022

Пошаговое объяснение:

1) 6336:2

в записи частного будет 4 цифры , поскольку первая цифра делимого 6 больше делителя 2

6336:2=3168

2)6336:9

в записи частного будет 3 цифры , поскольку первая цифра делимого 6 меньше делителя 9

6336:9 = 704

3) 58135:7

в записи частного будет 4 цифры , поскольку первая цифра делимого 5 меньше делителя 7

58135:7=8305

4)34472:8

в записи частного будет 4 цифры , поскольку первая цифра делимого 3 меньше делителя 8

34472:8=4309

5)251052:6

в записи частного будет 5 цифр , поскольку первая цифра делимого 2 меньше делителя 6

251052 :6=41842

6)411258:3

в записи частного будет 6 цифры , поскольку первая цифра делимого 4 больше делителя 3

411258:3= 137086

7) 136012:4

в записи частного будет 5 цифр , поскольку первая цифра делимого 1 меньше делителя 4

136012:4=34003

8) 254105:5

в записи частного будет 5 цифр , поскольку первая цифра делимого 2 меньше делителя 5

254105:5=50821

4,4(9 оценок)
Это интересно:
Новые ответы от MOGZ: Математика
logo
Вход Регистрация
Что ты хочешь узнать?
Спроси Mozg
Открыть лучший ответ