М
Молодежь
К
Компьютеры-и-электроника
Д
Дом-и-сад
С
Стиль-и-уход-за-собой
П
Праздники-и-традиции
Т
Транспорт
П
Путешествия
С
Семейная-жизнь
Ф
Философия-и-религия
Б
Без категории
М
Мир-работы
Х
Хобби-и-рукоделие
И
Искусство-и-развлечения
В
Взаимоотношения
З
Здоровье
К
Кулинария-и-гостеприимство
Ф
Финансы-и-бизнес
П
Питомцы-и-животные
О
Образование
О
Образование-и-коммуникации
nastya84398
nastya84398
10.07.2022 21:02 •  Математика

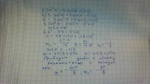
6sin^2x+7cosx-1=0 на отрезке от -5п/2 до -7п/2 включительно

👇
Ответ:
DeadlyCrawley
DeadlyCrawley
10.07.2022
Простонаборсимоволовчтобыопубликоватьответ
6sin^2x+7cosx-1=0 на отрезке от -5п/2 до -7п/2 включительно
4,7(72 оценок)
Открыть все ответы
Ответ:
dianabalaganska
dianabalaganska
10.07.2022

Поставь лайк и отметить как лучшее решение

а) |7х|=24,5 (вычеслить)

7×|х|= 24,5 (разделяем обе стороны)

|х|=3,5 (рассмотрим все возможные случаи)

х=3,5 х=–3,5 (уравнения имеет 2 решения)

Х1=3,5 Х2=–3,5

б) |5х+2,1|=0,2 (рассмотреть все возможные случаи)

5х+2,1=0,2

5х+2,1=–0,2 (решить уравнения)

х=–0,38

х=–0,46 (уравнения имеет 2 решения)

Х1=–0,38 Х2=–0,46

с) |9х+27|-4=0,5 (перенести константу в правую часть уравнения)

|9х+27|=0,5+4 (вычислить)

|9х+27|=4,5 (рассмотреть все возможные случаи)

9х+27=4,5

9х+27=–4,5 (решить уравнения)

х=–2,5

х=–3,5 (уравнения имеет 2 решения)

Х1=–3,5 Х2=–2,5

Поставь лайк и отметить как лучшее решение

4,7(20 оценок)
Ответ:
shirowa234567815690
shirowa234567815690
10.07.2022
Швейная машина (в быту Швейная машинка) (англ. sewing machine) — это техническое устройство для выполнения процессов соединения, скрепления или отделки деталей швейных изделий. Содержание [показать]

История изобретения

Игольная пластина, лапка и транспортёр швейной машины

Создание швейной машины относится ко второй половине XVIII века. Первые швейные «машинки» отличались тем, что полностью копировали метод ручного получения стежка. Но в 1814 году австрийский портной Джозеф (Йозеф) Мадерспергер создал иглу с ушком у острия одного из концов (далее считается что верх иглы тот, что с ушком) . Спустя несколько лет Фишер, Гиббоне, Уолтер Хант, Эллиас Хоу и другие учёные начали работать над получением стежка с иглы с ушком. В 1845 году Эллиас Хоу в США разработал челночный стежок и получил патент на швейную машину с этим стежком, которая работала со скоростью 300 стежков в минуту. Особенностью механизма этой машины было то, что игла двигалась горизонтально, а сшиваемые ткани располагались в вертикальной плоскости и могли перемещаться только по прямой линии, что вызывало некоторое неудобство.

В 1850 году в швейном аппарате А. Вильсона, а позже в 1851 году и в машинах Зингера и Гиббса игла двигалась вертикально, а ткань, прижатая специальной лапкой, располагалась на горизонтальной платформе и её продвижение осуществлялось прерывисто движущимся зубчатым колесом, а впоследствии — зубчатой пластинкой (рейкой) .

С каждой созданной моделью швейной машины конструкция швейной машины усложнялась и совершенствовалась, они становились более быстроходными и специализированными.
4,4(77 оценок)
Это интересно:
Новые ответы от MOGZ: Математика
logo
Вход Регистрация
Что ты хочешь узнать?
Спроси Mozg
Открыть лучший ответ