М
Молодежь
К
Компьютеры-и-электроника
Д
Дом-и-сад
С
Стиль-и-уход-за-собой
П
Праздники-и-традиции
Т
Транспорт
П
Путешествия
С
Семейная-жизнь
Ф
Философия-и-религия
Б
Без категории
М
Мир-работы
Х
Хобби-и-рукоделие
И
Искусство-и-развлечения
В
Взаимоотношения
З
Здоровье
К
Кулинария-и-гостеприимство
Ф
Финансы-и-бизнес
П
Питомцы-и-животные
О
Образование
О
Образование-и-коммуникации
Алина0811111
Алина0811111
25.08.2021 12:58 •  Математика

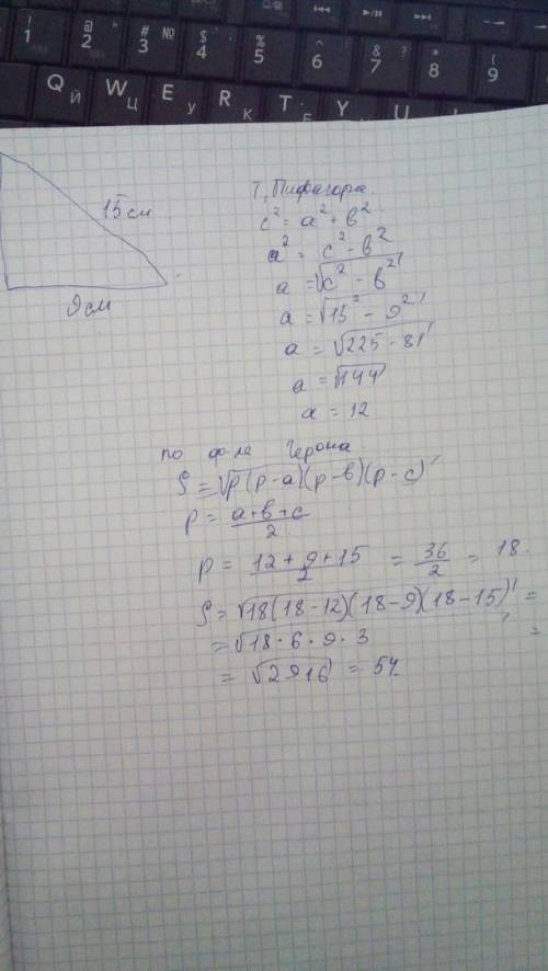
Найдите площадь прямоугольного треугольника с гипотенузой 15 см и одним катетом 9см.

👇
Ответ:
Имра11111
Имра11111
25.08.2021
Сначала по теореме пифагора находим оставшийся катет, затем по формуле герона находим площадь
Найдите площадь прямоугольного треугольника с гипотенузой 15 см и одним катетом 9см.
4,6(5 оценок)
Открыть все ответы
Ответ:
Brolik
Brolik
25.08.2021

3) Найдем средний балл:

(5 + 4 + 2 + 5 + 5 + 4 + 4 + 5 + 5 + 5) / 10 = 44 / 10 = 4,4.

Найдем медиану набора. Для этого упорядочим набор по возрастанию:

2, 4, 4, 4, 5, 5, 5, 5, 5, 5.

Медиана = (5 + 5) : 2 = 5.

4) Найдем средний балл:

(300000 + 150000 * 3 + 50000 * 40 + 10000) / 45 = 960000 / 10 = 96000.

Медиана = 50000.

Выгоднее использовать среднюю зарплату, так как она больше, чем медиана.

5) ) Найдем средний балл:

(12 + 13 + 14 + 12 + 15 + 16 + 14 + 13 + 11) / 9 = 120 / 9 = 13,3.

Найдем медиану набора. Для этого упорядочим набор по возрастанию:

11, 12, 12, 13, 13, 14, 14, 15, 16.

Медиана = 13.

таблицу не знаю

4,6(71 оценок)
Ответ:
нур101
нур101
25.08.2021

3) Найдем средний балл:

(5 + 4 + 2 + 5 + 5 + 4 + 4 + 5 + 5 + 5) / 10 = 44 / 10 = 4,4.

Найдем медиану набора. Для этого упорядочим набор по возрастанию:

2, 4, 4, 4, 5, 5, 5, 5, 5, 5.

Медиана = (5 + 5) : 2 = 5.

4) Найдем средний балл:

(300000 + 150000 * 3 + 50000 * 40 + 10000) / 45 = 960000 / 10 = 96000.

Медиана = 50000.

Выгоднее использовать среднюю зарплату, так как она больше, чем медиана.

5) ) Найдем средний балл:

(12 + 13 + 14 + 12 + 15 + 16 + 14 + 13 + 11) / 9 = 120 / 9 = 13,3.

Найдем медиану набора. Для этого упорядочим набор по возрастанию:

11, 12, 12, 13, 13, 14, 14, 15, 16.

Медиана = 13.

таблицу не знаю

4,6(23 оценок)
Новые ответы от MOGZ: Математика
logo
Вход Регистрация
Что ты хочешь узнать?
Спроси Mozg
Открыть лучший ответ