М
Молодежь
К
Компьютеры-и-электроника
Д
Дом-и-сад
С
Стиль-и-уход-за-собой
П
Праздники-и-традиции
Т
Транспорт
П
Путешествия
С
Семейная-жизнь
Ф
Философия-и-религия
Б
Без категории
М
Мир-работы
Х
Хобби-и-рукоделие
И
Искусство-и-развлечения
В
Взаимоотношения
З
Здоровье
К
Кулинария-и-гостеприимство
Ф
Финансы-и-бизнес
П
Питомцы-и-животные
О
Образование
О
Образование-и-коммуникации
bitievru2014
bitievru2014
13.07.2022 12:37 •  Математика

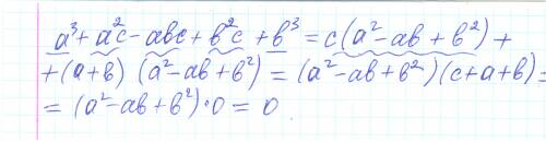
Найдите значение выражения a^3+a^2c-abc+b^2c+b^3, если a+b+c=0

👇
Ответ:
getoutwhoareyo1
getoutwhoareyo1
13.07.2022
Любое число умножив на 0 мы получаем 0
Найдите значение выражения a^3+a^2c-abc+b^2c+b^3, если a+b+c=0
4,4(29 оценок)
Открыть все ответы
Ответ:

Пошаговое объяснение:

Контрольна робота  

«Планета Земля як середовище життя організмів»

Позначте одну правильну відповідь ( у завданнях 1- 7):                                                              (правильна відповідь  1 бал)

1. Який ряд утворений лише назвами організмів?

а) соловей, щука, глина;                                                                                                                  б) вишня, планета, вовк;                                                                                                                  в) стіл, заєць, ялина;                                                                                                         г) бджола, кавун, горобець

2. За якою ознакою рослини відрізняються від тварин?                                         а) дихають;                                                                                                                                  б) живляться готовими органічними речовинами;                                                                          в) утворюють  органічні речовини з неорганічних ;                                                                                               г) розмножуються          

3. Яка речовина  не потрібна рослинам для утворення органічних речовин?                                                                                                                                    а) вуглекислий газ;                                                                                                                           б) кисень;                                                                                                                              в) хлорофіл;                                                                                                                            г) вода  

4. Укажіть природну екосистему.                                                                           а) поле;                                                                                                                                                                    б) сад;                                                                                                                                в) річка;                                                                                                                                            г) ставок      

5. Поповнюють атмосферу киснем.                                                                                а) рослини;                                                                                                                                         б) тварини;                                                                                                                        в) гриби;                                                                                                                                г) бактерії        

6. Укажіть, як дощові черв’яки впливають на грунтове середовище:                                                                                                             а) погіршують надходження в грунт повітря;                                                                  б) ускладнюють надходження води в грунт;                                                                                                в) зменшують вміст поживних речовин у грунті;                                                                            г) збагачують грунт поживними речовинами

7. Проаналізуйте твердження 1 і 2 та оберіть правильний варіант відповіді:  

Твердження 1. Вода є середовищем життя бобра.                                         Твердження 2. Освітленість визначає добові та сезонні зміни у поведінці більшості тварин.                                                                                                                                  а) правильне лише твердження 1;                                                                                       б) правильне лише твердження 2;                                                                                                                                                                                                                             в) неправильні обидва твердження;                                                                                                           г) правильні обидва твердження

4,5(50 оценок)
Ответ:
ambarik
ambarik
13.07.2022

Пошаговое объяснение:

Контрольна робота  

«Планета Земля як середовище життя організмів»

Позначте одну правильну відповідь ( у завданнях 1- 7):                                                              (правильна відповідь  1 бал)

1. Який ряд утворений лише назвами організмів?

а) соловей, щука, глина;                                                                                                                  б) вишня, планета, вовк;                                                                                                                  в) стіл, заєць, ялина;                                                                                                         г) бджола, кавун, горобець

2. За якою ознакою рослини відрізняються від тварин?                                         а) дихають;                                                                                                                                  б) живляться готовими органічними речовинами;                                                                          в) утворюють  органічні речовини з неорганічних ;                                                                                               г) розмножуються          

3. Яка речовина  не потрібна рослинам для утворення органічних речовин?                                                                                                                                    а) вуглекислий газ;                                                                                                                           б) кисень;                                                                                                                              в) хлорофіл;                                                                                                                            г) вода  

4. Укажіть природну екосистему.                                                                           а) поле;                                                                                                                                                                    б) сад;                                                                                                                                в) річка;                                                                                                                                            г) ставок      

5. Поповнюють атмосферу киснем.                                                                                а) рослини;                                                                                                                                         б) тварини;                                                                                                                        в) гриби;                                                                                                                                г) бактерії        

6. Укажіть, як дощові черв’яки впливають на грунтове середовище:                                                                                                             а) погіршують надходження в грунт повітря;                                                                  б) ускладнюють надходження води в грунт;                                                                                                в) зменшують вміст поживних речовин у грунті;                                                                            г) збагачують грунт поживними речовинами

7. Проаналізуйте твердження 1 і 2 та оберіть правильний варіант відповіді:  

Твердження 1. Вода є середовищем життя бобра.                                         Твердження 2. Освітленість визначає добові та сезонні зміни у поведінці більшості тварин.                                                                                                                                  а) правильне лише твердження 1;                                                                                       б) правильне лише твердження 2;                                                                                                                                                                                                                             в) неправильні обидва твердження;                                                                                                           г) правильні обидва твердження

4,7(19 оценок)
Это интересно:
Новые ответы от MOGZ: Математика
logo
Вход Регистрация
Что ты хочешь узнать?
Спроси Mozg
Открыть лучший ответ