М
Молодежь
К
Компьютеры-и-электроника
Д
Дом-и-сад
С
Стиль-и-уход-за-собой
П
Праздники-и-традиции
Т
Транспорт
П
Путешествия
С
Семейная-жизнь
Ф
Философия-и-религия
Б
Без категории
М
Мир-работы
Х
Хобби-и-рукоделие
И
Искусство-и-развлечения
В
Взаимоотношения
З
Здоровье
К
Кулинария-и-гостеприимство
Ф
Финансы-и-бизнес
П
Питомцы-и-животные
О
Образование
О
Образование-и-коммуникации
mocalov555
mocalov555
05.08.2020 16:22 •  Математика

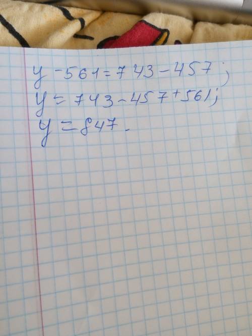
Y-561=743-457 измени уравнение так.чтобы появилось действие второй ступени

👇
Ответ:
ccallul
ccallul
05.08.2020
Смотри ниже в фото решение
Y-561=743-457 измени уравнение так.чтобы появилось действие второй ступени
4,5(65 оценок)
Открыть все ответы
Ответ:
linov310
linov310
05.08.2020

Пошаговое объяснение:

1)

Задуманное число = х

(х * 5) + 17 = 82

5х + 17 = 82

5х = 82 - 17

5х = 65

х = 65 : 5

х = 13

Задуманное число = 13

2)

1 число = 7х

2 число = х

7х - х = 174

6х = 174

х = 174 : 6

х = 29

1 число = (7х) = 7 * 29 = 203

2 число = (х) = 29

203 - 29 = 174

3)

1 булочка = х рублей

1 ватрушка = у рублей

5х + 3у = 167

у = х + 5

1)

5х + 3у = 167

5х + 3(х + 5) = 167

5х + 3х + 15 = 167

8х + 15 = 167

8х = 167 - 15

8х = 152

х = 152 : 8

х = 19

2)

у = х + 5

у = 19 + 5

у = 24

1 булочка = (х) = 19 рублей

1 ватрушка = (у) = 24 рубля

4,8(99 оценок)
Ответ:
Apple6pen
Apple6pen
05.08.2020

надо работать по действиям. Умножаем-3 1/8 на числа из первой скобки, а 7 1/2 на числа из второй скобки. раскроем скобки.

1)-3 1/8×4/5х=-25/8×4/5х=-5/2×1/1х=-5/2х

2) -3 1/8×3/25у=-25/8×3/25у=-5/8×3/5у=-15/40у

3) -3 1/8×(-8z)=-25/8×(-8/1z)=-25/1×(-1/1)z=25/1z=25z

раскрыв первую скобку получилось

-5/2х+(-15/40у)+25z

Теперь раскрываем вторую скобку

4) 7 1/2×2/3х=15/2×2/3х=5/1×1/1х=5/1х=5x

5) 7 1/2×9/15у=15/2×9/15у=1/2×9/1у=9/2у

6) 7 1/2×(-10)z=15/2×(-10/1)z=15/1×(-5/1)z=-75/1z=-75z

получаем

5х+9/2у-75z

теперь соединяем

-5/2х-15/40у+25z+5x+9/2y-75z=-5/2x+5x-15/40y+9/2y+25z-75z=

и соединяем х с х, у и у , z и z

=5/2x+33/8y-50z -это ответ

Пошаговое объяснение:

если где-то ошибалась, извени я просто объяснила суть

4,4(50 оценок)
Это интересно:
Новые ответы от MOGZ: Математика
logo
Вход Регистрация
Что ты хочешь узнать?
Спроси Mozg
Открыть лучший ответ