М
Молодежь
К
Компьютеры-и-электроника
Д
Дом-и-сад
С
Стиль-и-уход-за-собой
П
Праздники-и-традиции
Т
Транспорт
П
Путешествия
С
Семейная-жизнь
Ф
Философия-и-религия
Б
Без категории
М
Мир-работы
Х
Хобби-и-рукоделие
И
Искусство-и-развлечения
В
Взаимоотношения
З
Здоровье
К
Кулинария-и-гостеприимство
Ф
Финансы-и-бизнес
П
Питомцы-и-животные
О
Образование
О
Образование-и-коммуникации
Dima1208
Dima1208
25.03.2023 11:49 •  Математика

Найти общее решение (общий интеграл) дифференциального уравнения

👇
Ответ:
newsergy81
newsergy81
25.03.2023

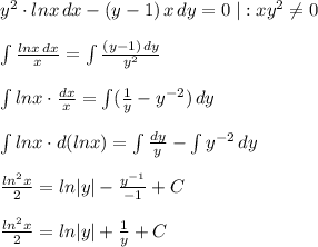
y^2\cdot lnx\, dx-(y-1)\, x\, dy=0\; |:xy^2\ne 0\\\\\int \frac{lnx\, dx}{x}=\int \frac{(y-1)\, dy}{y^2}\\\\\int lnx\cdot \frac{dx}{x}=\int (\frac{1}{y}-y^{-2})\, dy\\\\\int lnx\cdot d(lnx)=\int \frac{dy}{y}-\int y^{-2}\, dy\\\\\frac{ln^2x}{2}=ln|y|-\frac{y^{-1}}{-1}+C\\\\\frac{ln^2x}{2}=ln|y|+\frac{1}{y}+C

4,6(50 оценок)
Открыть все ответы
Ответ:
14sanka
14sanka
25.03.2023
                                             УМНОЖЕНИЕ
1. Произведение двух чисел не изменяется при перестановке множителей.
Это свойство умножения называют ПЕРЕМЕСТИТЕЛЬНЫМ. С букв его записывают так:
a+b=b+a
2. Чтобы умножить число на произведение двух чисел, можно сначала умножить его на первый множитель, а потом полученное произведение умножить на второй множитель.
Это свойство умножения называют сочетательным. С букв его записывают так:
a*(b*c)=(a*b)*c
3.Сумма n слагаемых, каждое из которых равно 1, равна n. Поэтому верно равенство 1*n=n
4. Сумма n слагаемых, каждое из которых равно нулю. Поэтому верно равенство 0*n=0
5.Чтобы переместительное свойство умножения было верно при n = 1 и n = 0, условились, что m*1=m и m*0=0.
6 Перед буквенными множителями обычно не пишут знак умножения: вместо 8 * x пишут 8x, вместо a*b пишут ab.
7. Опускают знак умножения и перд скобками. Например, вместо 2*(a+b) пишут 2(a+b), а вместо (x+2) * (y+3)  пишут (x+2)(y+3) Вместо (ab)c пишут abc.
8.Когда в записи произведения нет скобок, умножение выполняют по порядку слева направо.
4,5(65 оценок)
Ответ:
kasimova20001
kasimova20001
25.03.2023
1. Выполните действия:

 0,5 − 2 (семь восьмых) : ((одна шестая) + 1 (три четвёртых)) = 0,5 − 2 (семь восьмых) : ((две двенадцатых) + 1 (девять двенадцатых)) =  0,5 − 2 (семь восьмых) : (1 (одиннадцать двенадцатых) = 0,5 − двадцать три восьмых : двадцать три двенадцатых = 0,5 − двадцать три восьмых *двенадцать двадцать третьих  =  0,5 − двенадцать восьмых   = 0,5 − 1,5  = -1
по действиям):
0,5 − 2 (семь восьмых) : ((одна шестая) + 1 (три четвёртых)) = 
1) одна шестая+ 1 (три четвёртых) = (две двенадцатых) + 1 (девять двенадцатых) =1 (одиннадцать двенадцатых) 
2)  2 (семь восьмых) : 1 (одиннадцать двенадцатых)  = двадцать три восьмых : двадцать три двенадцатых = двадцать три восьмых *двенадцать двадцать третьих  = двенадцать восьмых   = три вторых  = 1,5
3) 0,5 - 1,5 =-1

2. Для уроков математики и русского языка
шестиклассники купили 231 тетрадь. Из них (шесть одиннацатых) были в клеточку. Сколько тетрадей в линейку купили шестиклассники?

(шесть одиннадцатых)*231 = 126 тетрадей в клеточку
Остальные: 231 - 126 = 105 тетрадей в линейку.

(шесть одиннадцатых) от общего числа тетрадей были в клеточку.
остальные:
 1 - (шесть одиннадцатых) = (пять одиннадцатых) от общего числа тетрадей в линейку 
(пять одиннадцатых)*231 = 105 тетрадей в линейку
3. Решите уравнение:
3x − 4 = 5
3x = 5 + 4
3x = 9
x = 9 :3
x = 3
4. Постройте отрезок КМ, где К( - 1; 6), М(3; - 2).
Запишите координаты точек пересечения его с осями
координат.
(0,4) и (2,0)
5. Найдите неизвестный член пропорции:
1 (пять шестых) : 7 (одна третьих) = 1,6 : x
x = 7 (одна третьих) *1,6 : 1 (пять шестых)  
x = двадцать две третьих *1,6 : одиннадцать шестых =двадцать две третьих *1,6 * шесть одиннадцатых = 2*1,6*2= 6,4
 
6. Найдите число y, если ( четыре седьмых) от y равны 40% от 80
Получим:
( четыре седьмых) *y = 0,4*80
y = 0,4*80:( четыре седьмых) = 32* семь четвертых = 8* 7 = 56
у = 56
4,4(43 оценок)
Новые ответы от MOGZ: Математика
logo
Вход Регистрация
Что ты хочешь узнать?
Спроси Mozg
Открыть лучший ответ