М
Молодежь
К
Компьютеры-и-электроника
Д
Дом-и-сад
С
Стиль-и-уход-за-собой
П
Праздники-и-традиции
Т
Транспорт
П
Путешествия
С
Семейная-жизнь
Ф
Философия-и-религия
Б
Без категории
М
Мир-работы
Х
Хобби-и-рукоделие
И
Искусство-и-развлечения
В
Взаимоотношения
З
Здоровье
К
Кулинария-и-гостеприимство
Ф
Финансы-и-бизнес
П
Питомцы-и-животные
О
Образование
О
Образование-и-коммуникации
svetsok2006
svetsok2006
28.08.2020 08:58 •  Математика

59 ! найдите значение выражения: 2 5/18+1 3/4 огромное ! 59 ! желательно, чтобы было подробно расписано!

👇
Ответ:
mcmorgana
mcmorgana
28.08.2020
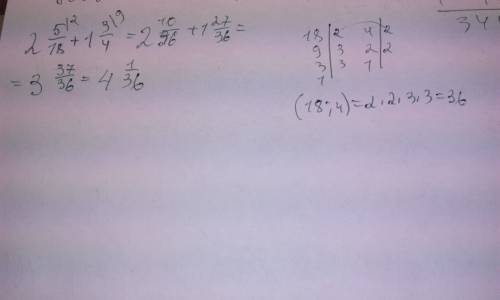
Приводим дроби к общему знаменателю.
59 ! найдите значение выражения: 2 5/18+1 3/4 огромное ! 59 ! желательно, чтобы было подробно распис
4,7(17 оценок)
Ответ:
shapo2005
shapo2005
28.08.2020
2 5/18+1 3/4 переводим в неправильную дробь=41/18+7/4 приводим к общему знаменателю=82/36+63/36 числитель складываем=145/36=
4 1/36
4,4(30 оценок)
Открыть все ответы
Ответ:
mashA2007111
mashA2007111
28.08.2020

Пошаговое объяснение:

А)

40×1=40 км проедет первый автобус за час

140-40=100 км останется проехать обоим автобусам за одинаковое время

40+60=100 км/ч суммарная скорость обоих автобусов

100÷100=1 час время, через которое, расстояние между автобусами будет 140 км

Б)

40×1=40 км проедет первый автобус за час

240-40= 200 км останется проехать обоим автобусам за одинаковое время

60+40=100 км/ч суммарная скорость автобусов

200÷100=2 часа, время, которое будут двигаться автобусы одновременно

2+1=3 часа, время через которое расстояние между автобусами будет 240 км

4,6(43 оценок)
Ответ:
yana603
yana603
28.08.2020

Пошаговое объяснение:

А)

40×1=40 км проедет первый автобус за час

140-40=100 км останется проехать обоим автобусам за одинаковое время

40+60=100 км/ч суммарная скорость обоих автобусов

100÷100=1 час время, через которое, расстояние между автобусами будет 140 км

Б)

40×1=40 км проедет первый автобус за час

240-40= 200 км останется проехать обоим автобусам за одинаковое время

60+40=100 км/ч суммарная скорость автобусов

200÷100=2 часа, время, которое будут двигаться автобусы одновременно

2+1=3 часа, время через которое расстояние между автобусами будет 240 км

4,6(51 оценок)
Это интересно:
Новые ответы от MOGZ: Математика
logo
Вход Регистрация
Что ты хочешь узнать?
Спроси Mozg
Открыть лучший ответ