М
Молодежь
К
Компьютеры-и-электроника
Д
Дом-и-сад
С
Стиль-и-уход-за-собой
П
Праздники-и-традиции
Т
Транспорт
П
Путешествия
С
Семейная-жизнь
Ф
Философия-и-религия
Б
Без категории
М
Мир-работы
Х
Хобби-и-рукоделие
И
Искусство-и-развлечения
В
Взаимоотношения
З
Здоровье
К
Кулинария-и-гостеприимство
Ф
Финансы-и-бизнес
П
Питомцы-и-животные
О
Образование
О
Образование-и-коммуникации
Princessa607
Princessa607
30.03.2023 04:47 •  Математика

Решите, . последовательность (bn) задана условиями b1=-5, bn+1=-2×(1÷bn). найдите b3!

👇
Ответ:
Пупырка20001
Пупырка20001
30.03.2023
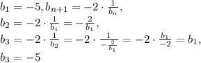
b_1=-5, b_{n+1}=-2\cdot\frac{1}{b_n}, \\ b_2=-2\cdot\frac{1}{b_1}=-\frac{2}{b_1}, \\ b_3=-2\cdot\frac{1}{b_2}=-2\cdot\frac{1}{-\frac{2}{b_1}}=-2\cdot\frac{b_1}{-2}=b_1, \\ b_3=-5
4,5(59 оценок)
Открыть все ответы
Ответ:
sabina300
sabina300
30.03.2023
Известен точения поверхностей тел вращения с круговым движением подачи, при котором радиус вращения инструмента значительно больше радиуса обрабатываемой поверхности и перемещение инструмента в радиальном направлении осуществляется по траектории с малой кривизной, близкой к прямой линии.
Описываемый точения внутренней поверхности тел вращения отличается от известных тем, что подачу осуществляют по траектории, радиус которой меньше радиуса изделия.
Применение этого обработки изделий улучшает условия резания, так как в процессе резания задний угол уменьшается к концу обработки, а передний увеличивается.
4,7(35 оценок)
Ответ:
fhjanvmendwr
fhjanvmendwr
30.03.2023
Северо Ледовитый океан - самый маленький океан на планете Земля! Также он отличается животным миром, чем другие океаны.
В летний период в приатлантической части Северного Ледовитого океана наблюдаются скопления рыбы (сельдь, пикша, треска, морской окунь).В водах полярных морей и на побережье живут тюлени, нарвалы, белухи, моржи.На дрейфующем льду круглый год охотятся белые медведи.На скалистых берегах живут целые колонии северных птиц. Кайры, люрики, чистики, белые чайки, бургомистры, моевки высиживают здесь своих птенцов. В арктической тундре живут зайцы, песцы, тундровые куропатки, лемминги, белые совы и вороны. Летом на откорм сюда заходят стада северных оленей.
4,4(43 оценок)
Это интересно:
Новые ответы от MOGZ: Математика
Полный доступ к MOGZ
Живи умнее Безлимитный доступ к MOGZ Оформи подписку
logo
Вход Регистрация
Что ты хочешь узнать?
Спроси Mozg
Открыть лучший ответ