
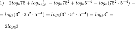
Пошаговое объяснение:
Вспомним признаки делимости
2 Последняя цифра числа а делится на 2
3 Сумма цифр числа а делится на 3
4 Число, из двух последних цифр числа а, делится на 4
5 Число а оканчивается цифрой 0 или 5
6 Число а делится на 2 и на 3
7 Число делится на 7 тогда и только тогда, когда результат вычитания удвоенной последней цифры из этого числа без последней цифры делится на 7
8 Число, из трёх последних цифр числа а, делится на 8
9 Сумма цифр числа а делится на 9
10 Число а оканчивается цифрой 0
Значит в числе должен быть 0, тогда оно будет делиться на 2,5,0, 10;
6 – тогда оно будет делиться на 4,3,6,8 и 3- тогда будет делится на 9 и 7
Подбираем , пусть число будет 360 – делится на 2,3,4,5,6,8,9,10 и число 630 – делится на 7
Значит искомые три цифры 3,6,0