М
Молодежь
К
Компьютеры-и-электроника
Д
Дом-и-сад
С
Стиль-и-уход-за-собой
П
Праздники-и-традиции
Т
Транспорт
П
Путешествия
С
Семейная-жизнь
Ф
Философия-и-религия
Б
Без категории
М
Мир-работы
Х
Хобби-и-рукоделие
И
Искусство-и-развлечения
В
Взаимоотношения
З
Здоровье
К
Кулинария-и-гостеприимство
Ф
Финансы-и-бизнес
П
Питомцы-и-животные
О
Образование
О
Образование-и-коммуникации
котёнок130
котёнок130
15.08.2021 20:49 •  Математика

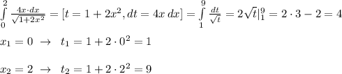
Интеграл от 0 до 2 4x dx/sqrt(1+2x^2)

👇
Ответ:
7799de
7799de
15.08.2021
\int\limits^2_0 {\frac{4x\cdot dx}{\sqrt{1+2x^2}}} =[t=1+2x^2,dt=4x\, dx]= \int\limits^9_1 \frac{dt}{\sqrt{t}}=2\sqrt{t}|_1^9 =2\cdot 3-2=4\\\\x_1=0\; \to \; \; t_1=1+2\cdot 0^2=1\\\\x_2=2\; \to \; \; t_2=1+2\cdot 2^2=9
4,7(42 оценок)
Открыть все ответы
Ответ:
Алёна0Чан
Алёна0Чан
15.08.2021
Для описания распределения вероятностей непрерывной случайной величины используется дифференциальная функция распределения.
Дифференциальная функция распределения (ДФР) (или плотность вероятности) – это первая производная от интегральной функции.

Интегральная функция распределения является первообразной для дифференциальной функции распределения. Тогда

Вероятность того, что непрерывная случайная величина X примет значение, принадлежащее интервалу (a,b), равна определенному интегралу от дифференциальной функции, взятому в пределах от a до b:

Геометрический смысл ДФР состоит в следующем: вероятность того, что непрерывная случайная величина X примет значение, принадлежащее интервалу (a, b), равна площади криволинейной трапеции, ограниченной осью x, кривой распределения f(x) и прямыми x = a и x = b (рис. 4).

Рис. 4  График дифференциальной функции распределения принято называть кривой распределения.
Свойства дифференциальной функции распределения:
1. Дифференциальная функция распределения неотрицательна, т. е.  
2. Если все возможные значения случайной величины принадлежат интервалу (a, b), то

Дифференциальную функцию распределения часто называют законом распределения вероятностей непрерывных случайных величин.
При решении прикладных задач сталкиваются с различными законами распределения вероятностей непрерывных случайных величин. Часто встречаются законы равномерного и нормального распределения.
1.5. Равномерное распределение непрерывной случайной величиныЗакон равномерного распределения вероятностей непрерывной случайной величины используется при имитационном моделировании сложных систем на ЭВМ как первоначальная основа для получения всех необходимых статистических моделей. При этом, если специально не оговорен закон распределения случайных чисел, то имеют ввиду равномерное распределение.
Распределение вероятностей называют равномерным, если на интервале (a,b), которому принадлежат все возможные значения случайной величины, дифференциальная функция распределения имеет постоянное значение, т. е. f(x) = C.
Так как

то

Отсюда закон равномерного распределения аналитически можно записать так:

График дифференциальной функции равномерного распределения вероятностей представлен на рис.5

Рис. 5 График дифференциальной функции равномерного распределения вероятностей.
Интегральную функцию равномерного распределения аналитически можно записать так:

График интегральной функции равномерного распределения вероятностей представлен на рис. 6

Рис. 6 График интеграль
4,5(66 оценок)
Ответ:
ElenaFevralV
ElenaFevralV
15.08.2021

Объяснение:

Припустимо, що ви вирішили впровадити в своє життя звичку бігати по 30 хвилин щоранку. Це складна звичка, яка вимагає сили волі. Тому не варто починати відразу з бажаних 30 хвилин. Почніть з 10 хвилин або навіть з 5. Тільки тоді, коли відчуєте, що звичка вкоренилася, збільшуйте навантаження. Пам’ятайте, мозок людини дуже агресивно реагує на будь-яку зміну, саме тому він «включає» захисний механізм, коли щось змінюється. Тому, чим м’якше ви будете впроваджувати зміни, тим менше буде стрес для мозку і більше шансів не зірватися і досягти результатів.

4,8(65 оценок)
Это интересно:
Новые ответы от MOGZ: Математика
logo
Вход Регистрация
Что ты хочешь узнать?
Спроси Mozg
Открыть лучший ответ