М
Молодежь
К
Компьютеры-и-электроника
Д
Дом-и-сад
С
Стиль-и-уход-за-собой
П
Праздники-и-традиции
Т
Транспорт
П
Путешествия
С
Семейная-жизнь
Ф
Философия-и-религия
Б
Без категории
М
Мир-работы
Х
Хобби-и-рукоделие
И
Искусство-и-развлечения
В
Взаимоотношения
З
Здоровье
К
Кулинария-и-гостеприимство
Ф
Финансы-и-бизнес
П
Питомцы-и-животные
О
Образование
О
Образование-и-коммуникации
vkutepova1999
vkutepova1999
16.11.2022 03:47 •  Математика

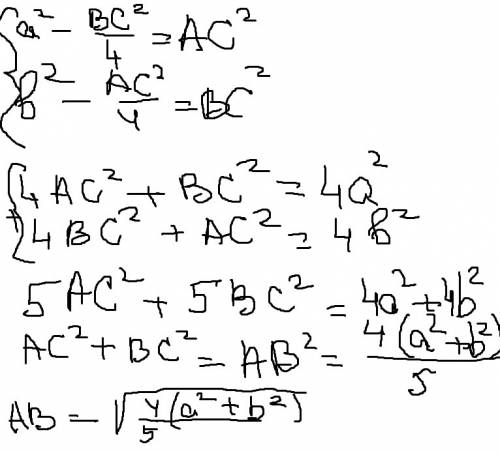
Медианы, проведенные к катетам пря моугольного треугольника, равны a и b . найти гипотенузу треугольника.

👇
Ответ:
gwetyalina1345
gwetyalina1345
16.11.2022
Почерк не очень.. но решение держите

Медианы, проведенные к катетам пря моугольного треугольника, равны a и b . найти гипотенузу треуголь
4,5(92 оценок)
Открыть все ответы
Ответ:
мскисуля2
мскисуля2
16.11.2022
Скрипка - струнно - смычковый музыкальный инструмент высокого регистра.
Скрипка один из важнейших инструментов современного симфонического оркестра.
Ни один другой инструмент не обладает таким сочетанием красоты, выразительности звука и технической подвижности.
Формы скрипки установились к XVI веку. К этому веку и началу XVII века относятся известные изготовители скрипок — семейство Амати. Их инструменты отличаются прекрасной формой и превосходным материалом. Скрипка является сольным инструментом с XVII века.
Скрипка имеет четыре струны, настроенные по квинтам. 
Корпус скрипки имеет овальную форму с округлыми выемками по бокам, образующими «талию». Гриф скрипки — длинная пластинка из чёрного дерева или из пластмассы.
4,6(70 оценок)
Ответ:
Karamelka3467
Karamelka3467
16.11.2022
1. Чтобы число делилось на 3, в сумме его цифры должны быть равны числу, которое делится на 3.
7+6+3=16, 7+6+3+2=18 делится на 3. Следовательно, добавляем 2, получается 7632.
2. Чтобы число делилось на 6, в сумме его цифры должны быть равны числу, которое делится и на 2, и на 3.
7+6+3=16, 7+6+3+2=18 делится и на 2, и на 3. Следовательно, добавляем 2, получается 7632.
3. Чтобы число делилось на 19, его десятки, сложенные с удвоенным числом единиц, делится на 19.
763*, сумма десятков=763, а теперь надо вместо * взять число и умножить его на 2, чтобы в сумме они делились на 19. Например, возьмем число 8, 2*8=16. Тогда, 763+16=779, делится на 19. Следовательно, 7638.
4,6(23 оценок)
Это интересно:
Новые ответы от MOGZ: Математика
logo
Вход Регистрация
Что ты хочешь узнать?
Спроси Mozg
Открыть лучший ответ