М
Молодежь
К
Компьютеры-и-электроника
Д
Дом-и-сад
С
Стиль-и-уход-за-собой
П
Праздники-и-традиции
Т
Транспорт
П
Путешествия
С
Семейная-жизнь
Ф
Философия-и-религия
Б
Без категории
М
Мир-работы
Х
Хобби-и-рукоделие
И
Искусство-и-развлечения
В
Взаимоотношения
З
Здоровье
К
Кулинария-и-гостеприимство
Ф
Финансы-и-бизнес
П
Питомцы-и-животные
О
Образование
О
Образование-и-коммуникации
03222
03222
19.04.2021 01:39 •  Математика

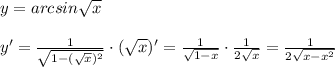
Пож вычислить производную сложной функции у=arcsin√х

👇
Ответ:
ekatsinrom
ekatsinrom
19.04.2021
y=arcsin\sqrt{x}\\\\y'=\frac{1}{\sqrt{1-(\sqrt{x})^2}}\cdot (\sqrt{x})'=\frac{1}{\sqrt{1-x}}\cdot \frac{1}{2\sqrt{x}}=\frac{1}{2\sqrt{x-x^2}}
4,5(33 оценок)
Открыть все ответы
Ответ:
milenohkaKiss6565
milenohkaKiss6565
19.04.2021
Современная молодежь ценит не то, что ценила молодежь в прежнее время, потому что изменились условия, изменилась страна, изменился социально-политический строй, идеология государства, а также у молодежи появились такие возможности, которых у прежней не было. 

Последняя советская молодежь выросла в непростых экономических условиях, например обычных явлением был дефицит товаров. Это накладывало отпечаток на прежнюю молодежь, на ее отношение к материальным благам и образ жизни. Последняя советская молодежь часто была вынуждена проводить время в магазинах, стоя в длинных очередях. Молодежь знала, как сложно было приобрести многие вещи в советское время, поэтому и ценила их больше, чем современная. 

Советская молодежь росла в период единой идеологии, в жестких рамках советской нравственности. С первого класса школьник становился сначала октябренком, потом пионером, комсомольцем. Поэтому прежняя молодежь выросла на других принципах, она больше ценила честность, порядочность, искренность, взаимовыручку. На этих ценность росла прежняя молодежь. Современная молодежь если и испытывает на себе давление в идеологическом плане, то оно в основном ограничивает патриотическим воспитанием. 

Материальное состояние советских людей было в среднем одинаковое. Молодые люди могли выделиться на общем фоне не своей дорогой одеждой или дорогим телефоном, а только чем-то нематериальным. Например, храбростью, знаниями, лидерскими качествами. Современная молодежь - часть современной эгоистичного мира, где каждый сам за себя. В современном мире зачастую молодежь самоутверждается за счет некоторых внешних атрибутов, носящих сугубо материальный характер. Молодежь копирует поведение старших людей. И в этом они ничем от взрослых не отличаются. 

Поздняя советская молодежь росла в период серьезных политических изменений в стране, в период так называемой перестройки. После долгих лет монополизма одной партии и одной идеологии наступала гласность, демократия и свобода слова. Молодежь активно интересовалась политикой и высоко ценила новые ценности. Современная молодежь не знает, что такое несвобода слова, свобода совести, поэтому она не ценит ее, не ощущает связи между свободой слова и своим материальным положением. Поэтому современная молодежь гораздо меньше интересуется политикой и тем, что происходит в стране. Молодежи кажется, что все в этом мире происходит самостоятельно и их участие в этом не требуется. Молодежь равнодушна к политике. 

С другой стороны это может быть объяснено и некоторой апатией, усталостью. Конец 80х - это эпоха не только больших перемен, но и больших надежда. Люди были уверены, что именно от них зависит то, как будет развиваться в дальнейшем государство, как будут люди жить. Сейчас такого нет. Есть ощущение, что от одного отдельно взятого человека вообще ничего не зависит. Поэтому современная молодежь, также как и их родители, предпочитают жить одним днем, не задумываясь о будущем.

Очень сильно изменились условия жизни, появились новых технологии. Раньше не было Интернета. Молодые люди общались лично, напрямую, не через социальные сети и телефоны. Поэтому ценилось живое общение, ценилось умение, например, петь под гитару, рассказать какую-то интересую историю в компании, ценился широкий кругозор. Теперь этого нет. Все общение через интернет. Играть не гитаре не требуется, можно найти любую мелодию в интернете. Реальные эмоции можно скрыть за картинкой в Интернете. Книги никто не читает. 

Современная молодежь живет в своем новом мире. В этом мире цвет волос и необычная прическа имеют большее значение, чем внутренний мир человека, его качества как личности. Достижения в онлайн-играх ценятся выше, чем успехи в спорте, количество друзей в социальных сетях - выше умения общаться в живую. 

Современная молодежь живет в своем виртуальном, искусственном мире. Отсюда и ценности современной молодежи такие же искусственные, поверхностные, ненастоящие. 
4,5(94 оценок)
Ответ:
KostyaBit
KostyaBit
19.04.2021

Марафо́н  — дисциплина лёгкой атлетики, представляющая собой забег на дистанцию 42 километра 195 метров (26 миль 385 ярдов). Ведущие мировые марафоны проводятся под эгидой и по правилам, разработаннымАссоциацией международных марафонов и пробегов (AIMS). Правила AIMS подтверждены Международной ассоциацией легкоатлетических федераций (IAAF).

Марафон — олимпийская дисциплина легкоатлетической программы у мужчин с 1896 года, у женщин — с 1984 года.
Кросс -Трасса кросса не имеет жёсткой международной стандартизации[1]. Обычно трасса проходит по пересечённой местности в лесной зоне или на открытом пространстве. В качестве покрытия может выступать травяное или земляное покрытия. Трасса дистанции должна быть ограждена яркими лентами с двух сторон, для отделения спортсменов от зрителей. На крупных международных соревнованиях вдоль лент дополнительно устраивают коридор шириной 1 метр. В этом промежутке располагаются организаторы соревнований, тренеры, фотографы и журналисты. Соревнования обычно проводятся осенью и зимой. Кросс может проходить в суровых погодных условиях, таких как дождь, ветер, мокрый снег.

4,7(80 оценок)
Это интересно:
Новые ответы от MOGZ: Математика
logo
Вход Регистрация
Что ты хочешь узнать?
Спроси Mozg
Открыть лучший ответ