М
Молодежь
К
Компьютеры-и-электроника
Д
Дом-и-сад
С
Стиль-и-уход-за-собой
П
Праздники-и-традиции
Т
Транспорт
П
Путешествия
С
Семейная-жизнь
Ф
Философия-и-религия
Б
Без категории
М
Мир-работы
Х
Хобби-и-рукоделие
И
Искусство-и-развлечения
В
Взаимоотношения
З
Здоровье
К
Кулинария-и-гостеприимство
Ф
Финансы-и-бизнес
П
Питомцы-и-животные
О
Образование
О
Образование-и-коммуникации
peskovavikulya
peskovavikulya
18.11.2020 15:09 •  Математика

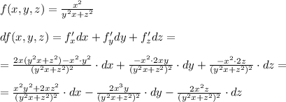
Нужна . найти полный дифференциал функции f(x,y,z)=x²/(y²x + z²).

👇
Ответ:
bhawk2017
bhawk2017
18.11.2020
f(x,y,z)= \frac{x^2}{y^2x+z^2} \\\\df(x,y,z)=f'_{x}dx+f'_{y}dy+f'_{z}dz=\\\\= \frac{2x(y^2x+z^2)-x^2\cdot y^2}{(y^2x+z^2)^2} \cdot dx+ \frac{-x^2\cdot 2xy}{(y^2x+z^2)^2} \cdot dy+ \frac{-x^2\cdot 2z}{(y^2x+z^2)^2} \cdot dz=\\\\= \frac{x^2y^2+2xz^2}{(y^2x+z^2)^2} \cdot dx- \frac{2x^3y}{(y^2x+z^2)^2} \cdot dy- \frac{2x^2z}{(y^2x+z^2)^2} \cdot dz
4,6(11 оценок)
Открыть все ответы
Ответ:
fietisov
fietisov
18.11.2020

y=x^2/16

Пошаговое объяснение:

Я не помню что бы фокусы проходили в школе, но может сейчас и проходят.

Решил так, может тебе надо по другому =D :

Находим основные определения параболы -

Вершина параболы: (0;0)

Фокус: подставляем x=0 в уравнение прямой (раз "фокус находится в точке пересечения прямой 5 x−3 y+12=0 с осью ординат")  -3y+12=0 => y=4 => фокус в точке (0;4)

Директриса: симметрична относительно вершины и нормальна прямой соединяющей фокус и вершину, т.е. тут легко видно что y= -4

Составляем уравнение параболы из определения:

расстояние до директрисы=расстояние до фокуса

y+4=sqrt((y-4)^2+x^2)

(y+4)^2=(y-4)^2+x^2

раскрываем скобки, сокращаем, получаем y=x^2/16

4,7(92 оценок)
Ответ:
Каварныи
Каварныи
18.11.2020
    5*3=15 ртов у 5 жителей планеты                                                                             5*1=5 глаз у 5 жителей планеты                                                                             3*1=3 рта у 3 космонавтов                                                                                         3*2=6 глаз у 3 космонавтов                                                                                        15+3=18 ртов на фотографии                                                                                   5+6=11 глаз на фотографии                                                                                     18-11=7 (на 7 больше ртов,чем глаз)                                                  
4,4(85 оценок)
Новые ответы от MOGZ: Математика
logo
Вход Регистрация
Что ты хочешь узнать?
Спроси Mozg
Открыть лучший ответ