М
Молодежь
К
Компьютеры-и-электроника
Д
Дом-и-сад
С
Стиль-и-уход-за-собой
П
Праздники-и-традиции
Т
Транспорт
П
Путешествия
С
Семейная-жизнь
Ф
Философия-и-религия
Б
Без категории
М
Мир-работы
Х
Хобби-и-рукоделие
И
Искусство-и-развлечения
В
Взаимоотношения
З
Здоровье
К
Кулинария-и-гостеприимство
Ф
Финансы-и-бизнес
П
Питомцы-и-животные
О
Образование
О
Образование-и-коммуникации
mirtovamasha
mirtovamasha
19.09.2021 11:49 •  Математика

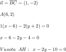
Даны вершины треугольника а(6; 2), в(6; 3), с(7; 1). составить уравнение высоты треугольника, проведенной из вершины а.

👇
Ответ:
ketti204
ketti204
19.09.2021
\vec {n}=\overline {BC}=(1,-2)\\\\A(6,2)\\\\1(x-6)-2(y+2)=0\\\\x-6-2y-4=0\\\\Vusota\; \; AH:\; \; x-2y-10=0
4,5(83 оценок)
Открыть все ответы
Ответ:
cetpersik
cetpersik
19.09.2021
В картинках два
1-ый посчитать "в лоб" все суммы до n=12. Это довольно быстро.
2-ой длиннее, зато "высокоинтеллектуальный" :) и годится для чисел существенно больших  2018.
1) Вначале выводим общую формулу для суммы (можно не выводить, если помните ее) S[n]=1²+2²+3²+...+n²=n(n+1)(2n+1)/6.
2) Потом из нее выводим формулу для суммы из левой части условия: 1²+3²+5²+...+(2n-1)²=S[2n]-4S[n]=n(4n²-1)/3.
3) Затем легко прикинуть, что если эта сумма около 2018, то n около 11.
4) Проверяем n=11 и 12 и находим n=11.

20 найдите наибольшее натуральное число n, для которого выполнено неравенство
20 найдите наибольшее натуральное число n, для которого выполнено неравенство
4,6(50 оценок)
Ответ:
нурперим
нурперим
19.09.2021
А) 17 + х = 29                             б) 61 - х = 58
х = 29 - 17                                   х = 61 - 58
х = 12 - корень уравнения         х = 3 - корень уравнения

в) 100 : х = 20                             г) (28 : х) + 8 = 10
х = 100 : 20                                  28 : х = 10 - 8
х = 5 - корень уравнения            28 : х = 2
                                                     х = 28 : 2
                                                     х = 14 - корень уравнения
Вiдповiдь: а) 12; б) 3; г) 14.
4,7(68 оценок)
Это интересно:
Новые ответы от MOGZ: Математика
logo
Вход Регистрация
Что ты хочешь узнать?
Спроси Mozg
Открыть лучший ответ