М
Молодежь
К
Компьютеры-и-электроника
Д
Дом-и-сад
С
Стиль-и-уход-за-собой
П
Праздники-и-традиции
Т
Транспорт
П
Путешествия
С
Семейная-жизнь
Ф
Философия-и-религия
Б
Без категории
М
Мир-работы
Х
Хобби-и-рукоделие
И
Искусство-и-развлечения
В
Взаимоотношения
З
Здоровье
К
Кулинария-и-гостеприимство
Ф
Финансы-и-бизнес
П
Питомцы-и-животные
О
Образование
О
Образование-и-коммуникации
23LOLKEK
23LOLKEK
15.04.2023 02:17 •  Математика

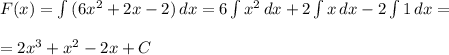
Найдите общий вид первообразной f(x)=6x*2+2x-2

👇
Ответ:
ученик1523
ученик1523
15.04.2023
F(x)= \int\limits {(6x^2+2x-2)} \, dx =6 \int\limits {x^2} \, dx +2 \int\limits{x} \, dx -2 \int\limits {1} \, dx = \\ \\ =2x^3+x^2-2x+C
4,8(67 оценок)
Открыть все ответы
Ответ:
Karina0714
Karina0714
15.04.2023
Дано: Трапеция ABCD. BC = 11, AD = 23. AB = CD. S = 136.

Решение:
1.) Проведем 2 высоты - DH и CT. Они равны, т.к. обе перпендикулярны одной стороне AD. Т.к. трапеция равнобедренная, угл A = углу D. Следовательно, прямоугольные треугольники ABH и CDT равны по катету и острому углу, а след. AH = TD.
2.) AH = TD по доказанному. Т.к. BC = HT, след AH = TD = (23 - 11)/2 = 6
3. ) Площадь трапеции = ((BC + AD)/2 )*h = ((23 + 11)/2)* h = 17*h (h - высота)
4. ) S = 17*h, а по условию S = 136. Составляем уравнение - 136 = 17*h, h = 8
5. ) Рассмотрим прямоугольный треугольник ABH. AH = 6 по доказанному. BH = 8 по доказанному. По теореме Пифагора AB^2 = BH^2 + AH^2. Составим уравнение, где X = AB.    X^2 = 6^2 + 8^2. X^2 = 36 + 64. X^2 = 100. X = 10
Следовательно, боковая сторона трапеции = 10
4,4(54 оценок)
Ответ:
sahrona04
sahrona04
15.04.2023
Се население Сибири платило дань (ясак) в виде сдачи ханам шкурок ценных пород пушного зверя.
Напомню, что после присоединения Хонгорая к России коренное население было обложено ясачным сбором, который сначала «являлся выражением даннических отношений аборигенов к русскому царю» . Со временем он превратился в феодальную ренту, взимаемую царизмом как собственником хакасских земель.
Ясак – т. е. натуральная подать, получаемая с нерусских народов Сибири.
В русском языке слово «ясак» - букв. закон, правило, власть был заимствован из монгольской речи в период Золотой Орды. Данный термин известен хакасам, в языке которых он произносится как «чозах» и употребляется в значении – закон, обычай, традиция, право. Например, «тадар чозаoы» - закон хакасской веры, «ызых чозаoы» - обычай, связанный с почитанием священных животных и т. д. Обычное право общества скотоводов Хонгорая не отделяло закон от веры, предписания которых необходимо было выполнять, ибо они попадали под общее понятие «чозах» .
Платежной душой ( по-хакасски «ухчы» - букв. боец, стрелок) считался мужчина в возрасте от 18 до 50 лет. В ХУIII в. с каждого «бойца» взимался ясачный сбор пушным зверем: или один бобр (хундус) , или три соболя (албаoы) , или 300 белок (тиин) . При товарных обменах между собой скотоводы использовали своеобразный эквивалент денег. Вплоть до начала ХХ в. единицей обмена между тюрками Саяно-Алтая служили: или связки из беличьих шкурок - «тиин» , или годовалый баран - «сwлеке» , или годовалый бычок – «торбак» . Вероятно, в древние времена беличья шкурка служила денежным эквивалентом и при торговых сношениях со странами Центральной Азии.
Ясак, «пользуясь древними инородческими обычаями» , собирали два раза в году: весной в апреле – мае (по-хакасски «часхы албан» ) и осенью в ноябре - декабре (по-хакасски «rmcrm fk,fy»). Такой же порядок существовал во времена правления монгольских ханов не только на Саяно-Алтае, но и на Руси. «Русь, согласно ярлыку, … должна была регулярно ежегодно дважды (весной и осенью) уплачивать ханам дань» . 

Получи 5
4,7(57 оценок)
Это интересно:
Новые ответы от MOGZ: Математика
logo
Вход Регистрация
Что ты хочешь узнать?
Спроси Mozg
Открыть лучший ответ